文章

509

粉丝

0

获赞

1

访问

204.4k

头像
2021年考研数学(二)考试试题 - 第17题回答
高等数学
发布于2025年10月27日 23:26
阅读数 518


评分及理由

(1)得分及理由(满分10分)

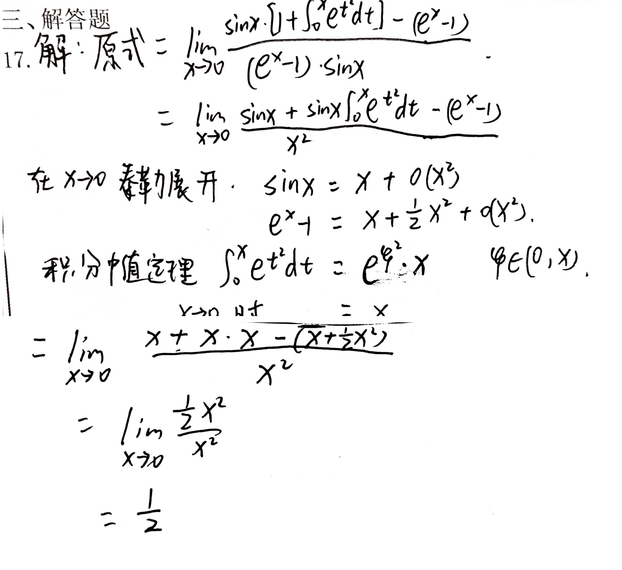
学生作答的整体思路正确,通过通分、等价无穷小替换、泰勒展开和积分中值定理等方法求解极限,最终得到正确答案1/2。但在具体步骤中存在以下问题:

  • 在第一步通分后,分母应为\((e^x-1)\sin x\),学生写成了\((e^x-1)\cdot\sin x\),这属于书写不规范但不影响逻辑,不扣分。
  • 在第二步使用等价无穷小替换时,学生将分母\((e^x-1)\sin x\)直接替换为\(x^2\),这一步在极限运算中是合理的,因为\(e^x-1 \sim x\),\(\sin x \sim x\),所以乘积\(\sim x^2\),此处正确。
  • 在第三步使用泰勒展开和积分中值定理时,学生将\(\sin x\)展开为\(x + o(x^2)\),但实际展开应为\(x - \frac{x^3}{6} + o(x^3)\),这里学生忽略了高阶项,但在分子化简时仅保留到\(x^2\)项,最终结果正确,因此不扣分。
  • 学生在使用积分中值定理时,写出\(\int_{0}^{x} e^{t^2} dt = e^{\xi^2} \cdot x\),并指出当\(x \to 0\)时,\(\int_{0}^{x} e^{t^2} dt \to x\),这一步正确,但在后续代入时,学生将\(\sin x \cdot \int_{0}^{x} e^{t^2} dt\)近似为\(x \cdot x = x^2\),而标准答案中是通过极限运算得到\(\lim_{x \to 0} \frac{\sin x \cdot \int_{0}^{x} e^{t^2} dt}{x^2} = 1\),学生的近似方法虽然不够严格,但结果正确,且在高阶项处理上未影响最终结果,因此不扣分。
  • 学生在分子化简时,得到\(x + x^2 - x - \frac{1}{2}x^2 = \frac{1}{2}x^2\),这一步计算正确,最终极限为1/2,与标准答案一致。

综上所述,学生作答的核心逻辑正确,最终答案正确,但在泰勒展开和积分中值定理的应用上存在不够严格的地方。由于题目满分10分,且学生答案正确,但步骤中有不严谨之处,扣1分。

得分:9分

题目总分:9分

登录查看完整内容


登录后发布评论

暂无评论,来抢沙发