文章
225
粉丝
0
获赞
1
访问
10.9k

评分及理由
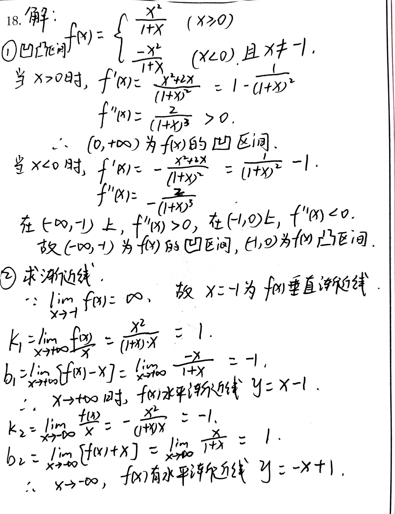
(1)凹凸区间得分及理由(满分6分)
学生正确分析了函数的分段表达式,并分别对x>0和x<0的情况求二阶导数。在x>0时正确得出f''(x)>0,在x<0时正确分析f''(x)的符号变化,并正确得出凹区间为(-∞,-1)和(0,+∞),凸区间为(-1,0)。虽然学生没有明确说明f''(0)不存在,但这不影响凹凸区间的判断。因此该部分回答完整正确,得6分。
(2)渐近线得分及理由(满分6分)
学生正确求出了垂直渐近线x=-1,并分别对x→+∞和x→-∞的情况求斜渐近线。计算过程正确,结果与标准答案一致:当x→+∞时斜渐近线为y=x-1,当x→-∞时斜渐近线为y=-x+1。该部分回答完整正确,得6分。
题目总分:6+6=12分
登录后发布评论
暂无评论,来抢沙发