文章
225
粉丝
0
获赞
1
访问
10.9k

评分及理由
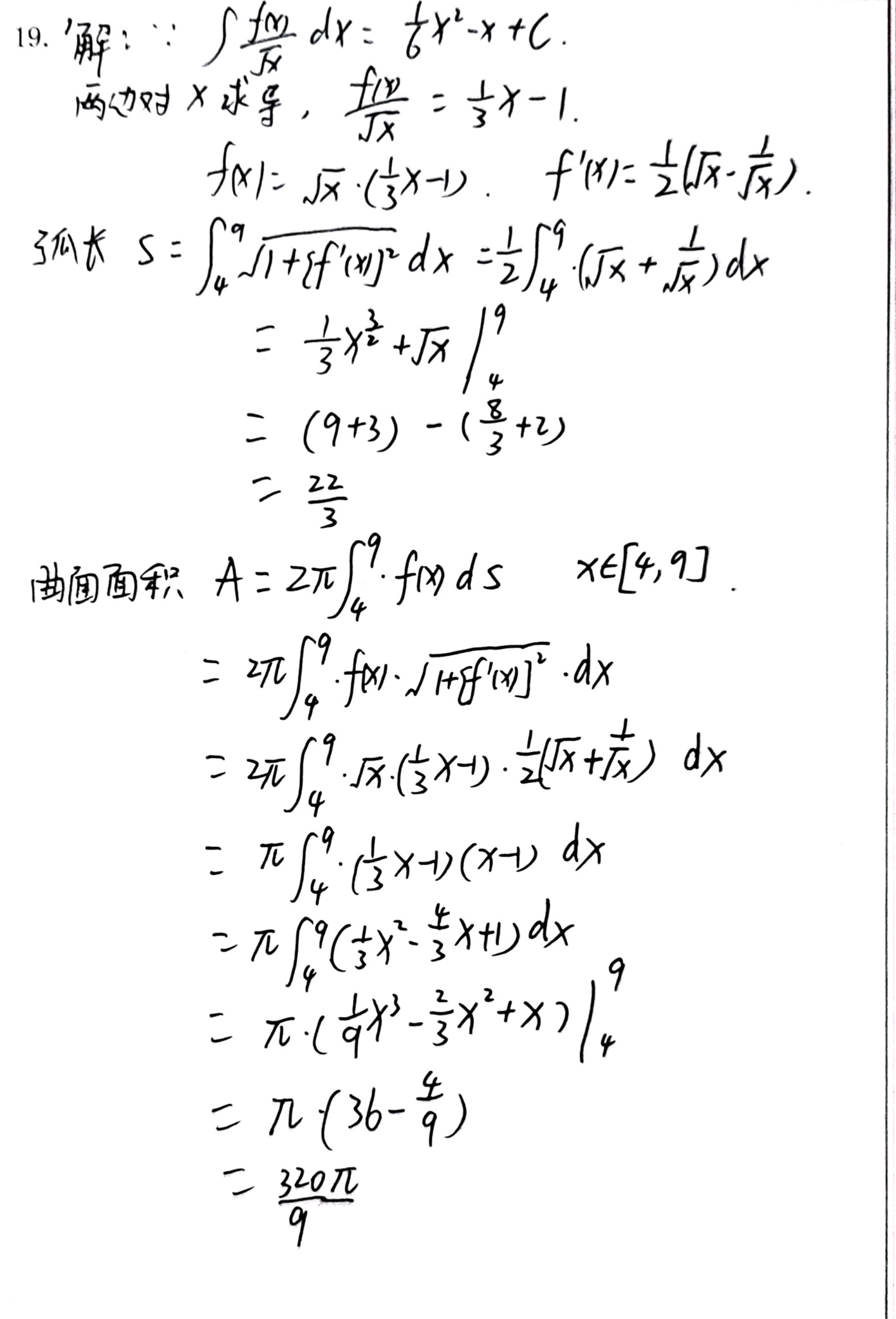
(1)求函数 \(f(x)\) 得分及理由(满分2分)
学生正确地对积分等式两边求导,得到 \(\frac{f(x)}{\sqrt{x}} = \frac{1}{3}x - 1\),并正确解得 \(f(x) = \sqrt{x}(\frac{1}{3}x - 1)\)。此步骤与标准答案一致,得2分。
(2)求导数 \(f'(x)\) 得分及理由(满分2分)
学生正确对 \(f(x) = \frac{1}{3}x^{3/2} - x^{1/2}\) 求导,得到 \(f'(x) = \frac{1}{2}(\sqrt{x} - \frac{1}{\sqrt{x}})\)。此步骤与标准答案一致,得2分。
(3)求弧长 \(S\) 得分及理由(满分4分)
学生正确应用弧长公式,代入 \(f'(x)\) 并化简得到 \(\frac{1}{2}\int_{4}^{9}(\sqrt{x} + \frac{1}{\sqrt{x}})dx\),计算过程正确,最终结果 \(\frac{22}{3}\) 与标准答案一致。此部分得4分。
(4)求旋转曲面面积 \(A\) 得分及理由(满分4分)
学生正确应用旋转曲面面积公式,代入 \(f(x)\) 和 \(\sqrt{1+[f'(x)]^2}\) 并化简为 \(\pi\int_{4}^{9}(\frac{1}{3}x - 1)(x + 1)dx\),但在积分计算中出现错误:积分 \(\int (\frac{1}{3}x^2 - \frac{2}{3}x - 1)dx\) 应得 \(\frac{1}{9}x^3 - \frac{1}{3}x^2 - x\),但代入上下限计算有误,正确结果应为 \(\frac{425}{9}\pi\),学生得到 \(\frac{320\pi}{9}\)。此步骤计算错误,扣2分,得2分。
题目总分:2+2+4+2=10分
登录后发布评论
暂无评论,来抢沙发