文章

509

粉丝

0

获赞

1

访问

204.4k

头像
2021年考研数学(二)考试试题 - 第21题回答
高等数学
发布于2025年10月27日 23:26
阅读数 391


评分及理由

(1)得分及理由(满分12分)

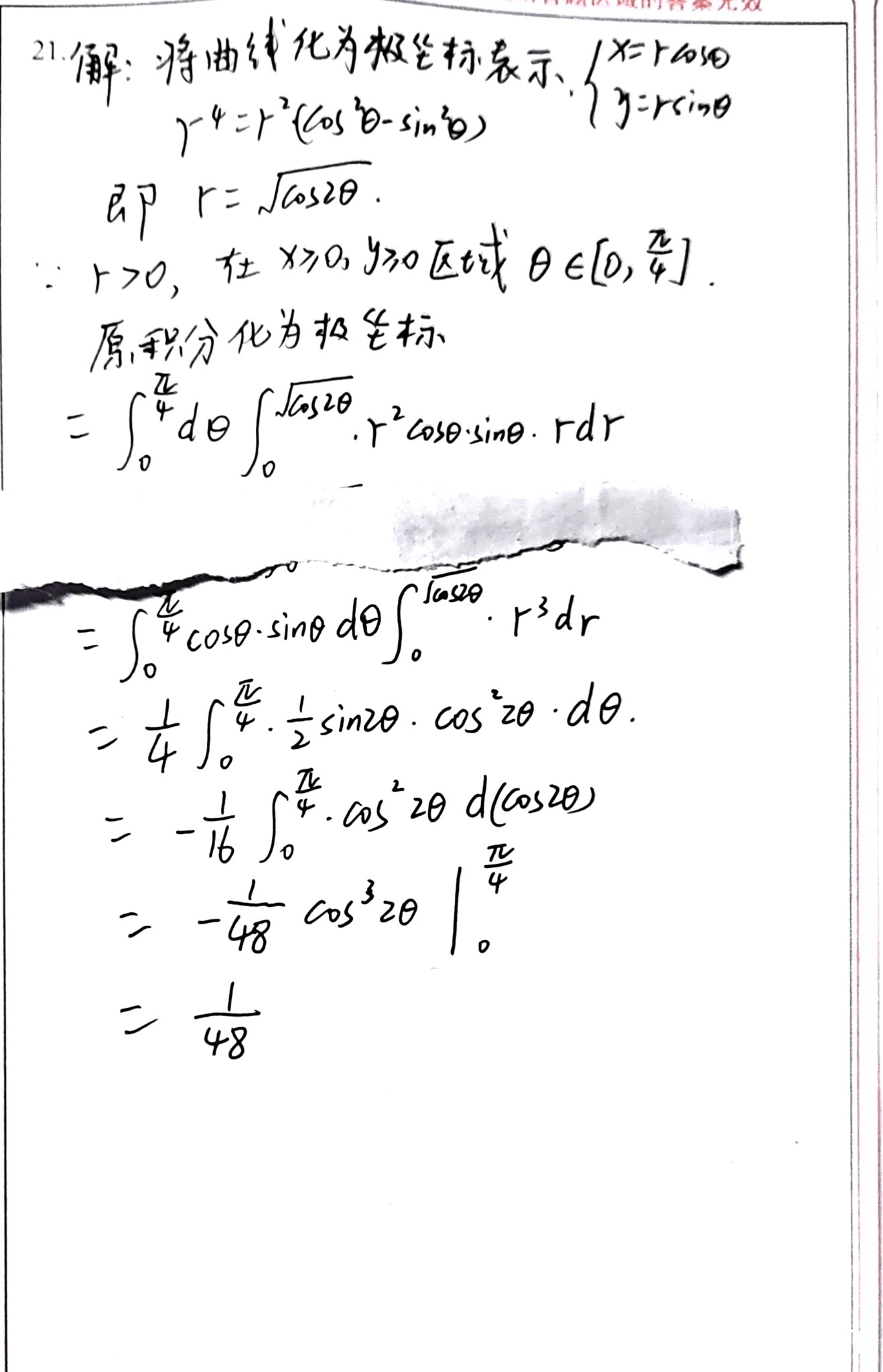
学生作答与标准答案思路完全一致,均采用极坐标变换求解。具体步骤:

  • 正确识别曲线方程并转化为极坐标形式 \( r = \sqrt{\cos 2\theta} \)
  • 正确确定积分区域 \(\theta \in [0, \frac{\pi}{4}]\)
  • 正确写出极坐标下的二重积分表达式 \(\int_{0}^{\frac{\pi}{4}} d\theta \int_{0}^{\sqrt{\cos 2\theta}} r^3 \cos\theta \sin\theta dr\)
  • 积分计算过程正确,包括:
    • 对r积分得到 \(\frac{1}{4}\cos^2 2\theta\)
    • 利用\(\sin 2\theta = 2\sin\theta\cos\theta\)进行变量替换
    • 正确进行换元积分 \(d(\cos 2\theta)\)
    • 最终计算结果 \(\frac{1}{48}\) 正确

虽然学生在书写过程中有少量表达不够规范(如积分表达式写法),但核心逻辑和计算过程完全正确,根据评分要求,思路正确不扣分,识别误差不扣分。

得分:12分

题目总分:12分

登录查看完整内容


登录后发布评论

暂无评论,来抢沙发