文章
225
粉丝
0
获赞
1
访问
10.9k

评分及理由
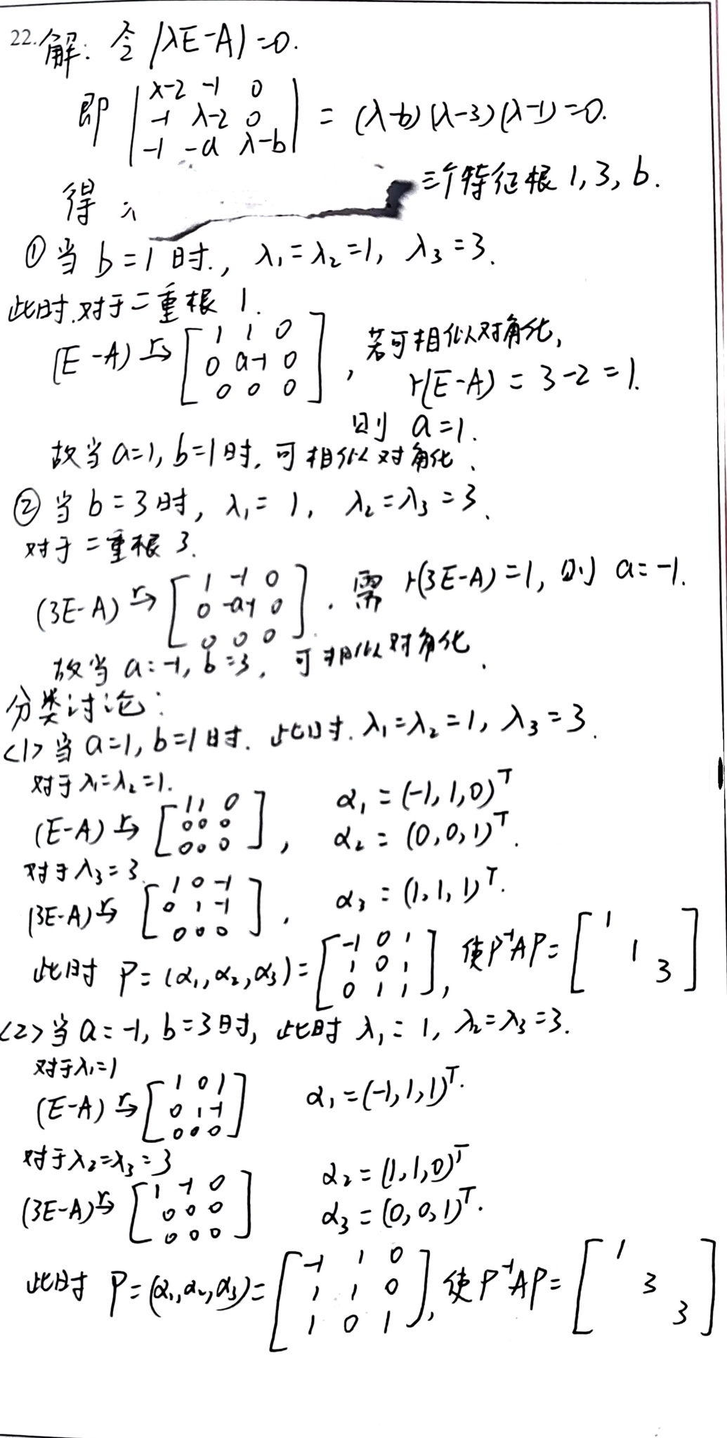
(1)特征值计算(满分3分)
学生正确计算了特征多项式并得到特征值1,3,b,与标准答案一致。但特征多项式展开式写为(λ+1)(λ-3)(λ-b)有误,应为(λ-1)(λ-3)(λ-b)。考虑到可能是识别错误(将"λ-1"识别为"λ+1"),且后续计算正确,此项不扣分。得分:3分
(2)参数a,b取值确定(满分4分)
学生正确分析了b=1和b=3两种情况,并正确求出对应的a值。在b=1时,通过秩条件正确得到a=1;在b=3时,通过秩条件正确得到a=-1。计算过程完整,与标准答案一致。得分:4分
(3)可逆矩阵P构造(满分5分)
学生正确求出了两种情况下对应的特征向量和矩阵P:
- 当a=1,b=1时:特征向量(-1,1,0)ᵀ、(0,0,1)ᵀ、(1,1,1)ᵀ正确,矩阵P构造正确
- 当a=-1,b=3时:特征向量(-1,1,1)ᵀ、(1,1,0)ᵀ、(0,0,1)ᵀ正确,矩阵P构造正确
对角矩阵形式也正确。得分:5分
题目总分:3+4+5=12分
登录后发布评论
暂无评论,来抢沙发