文章

212

粉丝

0

获赞

0

访问

81.0k

头像
2025年合工大超越5+5套卷(一) - 第15题回答
高等数学
发布于2025年10月28日 11:30
阅读数 626


评分及理由

(1)得分及理由(满分5分)

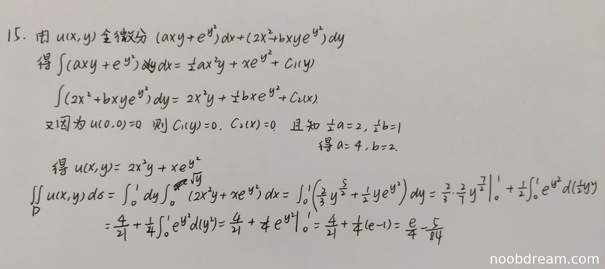
学生作答中,首先通过全微分条件正确求出a=4,b=2,然后得到u(x,y)=2x²y+xe^{y²}。在计算二重积分时,正确建立了积分区域D的积分次序:∫₀¹dy∫₀^{√y}(2x²y+xe^{y²})dx。计算过程中:

  • 对x积分时,∫2x²ydx得到(2/3)x³y,∫xe^{y²}dx得到(1/2)x²e^{y²}
  • 代入上下限后得到(2/3)y^{5/2} + (1/2)ye^{y²}
  • 对y积分时,∫(2/3)y^{5/2}dy得到4/21,∫(1/2)ye^{y²}dy通过换元法得到(1/4)(e-1)
  • 最终结果为e/4 - 5/84

整个解题过程逻辑清晰,计算正确,与标准答案完全一致。虽然作答中包含了求a、b的过程,但这是求解u(x,y)的必要步骤,不算多余信息。因此给满分5分。

题目总分:5分

登录查看完整内容


登录后发布评论

暂无评论,来抢沙发