文章
302
粉丝
0
获赞
15
访问
146.3k

评分及理由
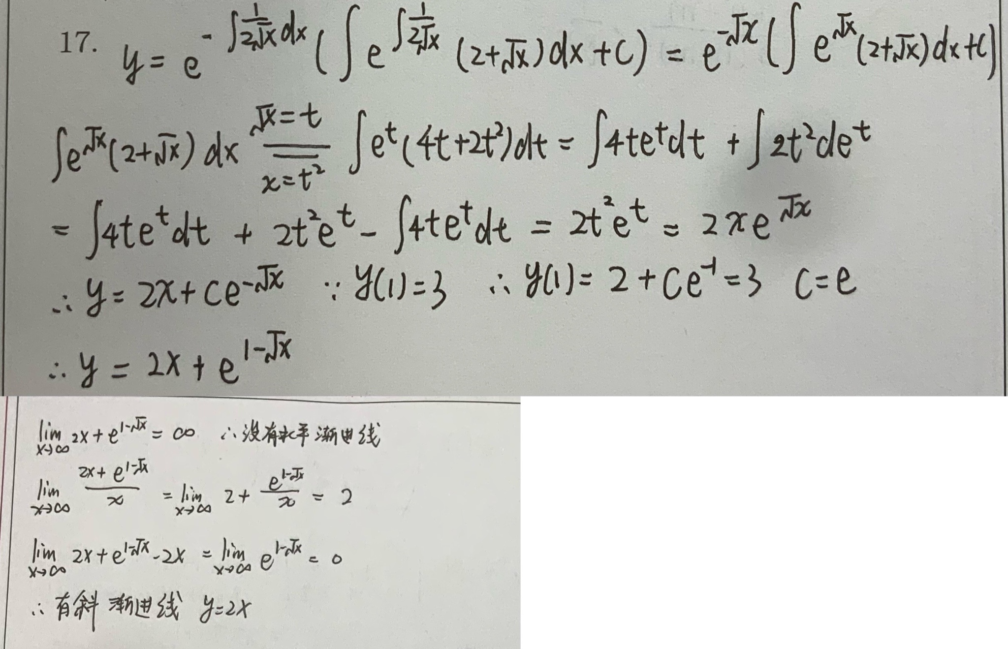
(1)求解微分方程部分(满分4分)
学生正确使用了一阶线性微分方程的求解公式,并正确计算了积分因子和积分过程。在计算∫(2+√x)e^√x dx时,通过代换u=√x和分部积分法得到了正确结果2xe^√x。整个求解过程逻辑清晰,计算无误。得4分。
(2)确定常数C部分(满分2分)
学生正确代入初始条件y(1)=3,得到方程2+Ce^(-1)=3,并正确解得C=e。计算过程正确。得2分。
(3)求渐近线部分(满分4分)
学生正确分析了水平渐近线和斜渐近线:
虽然学生没有明确说明没有铅直渐近线,但题目中函数定义域为[0,+∞),在定义域内没有无定义点,所以确实没有铅直渐近线。这部分分析完整正确。得4分。
题目总分:4+2+4=10分
登录后发布评论
暂无评论,来抢沙发