文章

302

粉丝

0

获赞

15

访问

146.3k

头像
2022年考研数学(一)考试试题 - 第18题回答
高等数学
发布于2025年10月28日 14:31
阅读数 427


评分及理由

(1)得分及理由(满分12分)

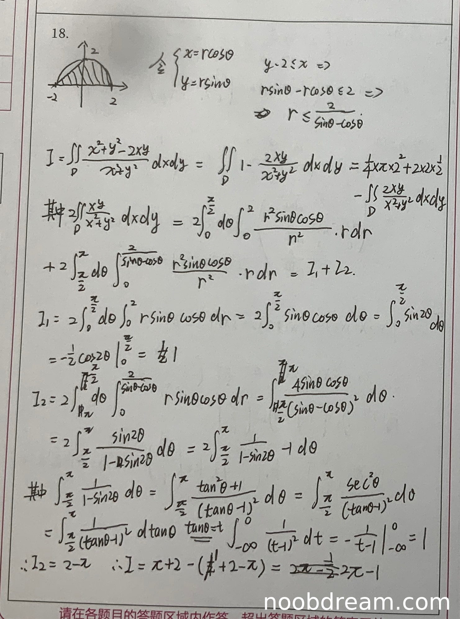
学生采用了极坐标变换的方法,思路基本正确。但在计算过程中存在多处逻辑错误:

  • 区域面积计算错误:将D的面积计算为半圆加三角形(2π+2),实际上D是由直线y=x+2、圆x²+y²=4和x轴围成,面积应为四分之一圆加三角形(π+2)。
  • I₂的计算错误:在计算∫(1/(1-sin2θ))dθ时,积分上下限处理不当,结果应为π/2,而不是1。
  • 最终结果错误:由于上述错误累积,最终结果3π-1与正确答案2π-2不符。

考虑到学生正确使用了极坐标变换,区域划分思路正确,但核心计算存在严重错误,扣分较多。得6分。

题目总分:6分

登录查看完整内容


登录后发布评论

暂无评论,来抢沙发