文章
165
粉丝
0
获赞
10
访问
15.8k

评分及理由
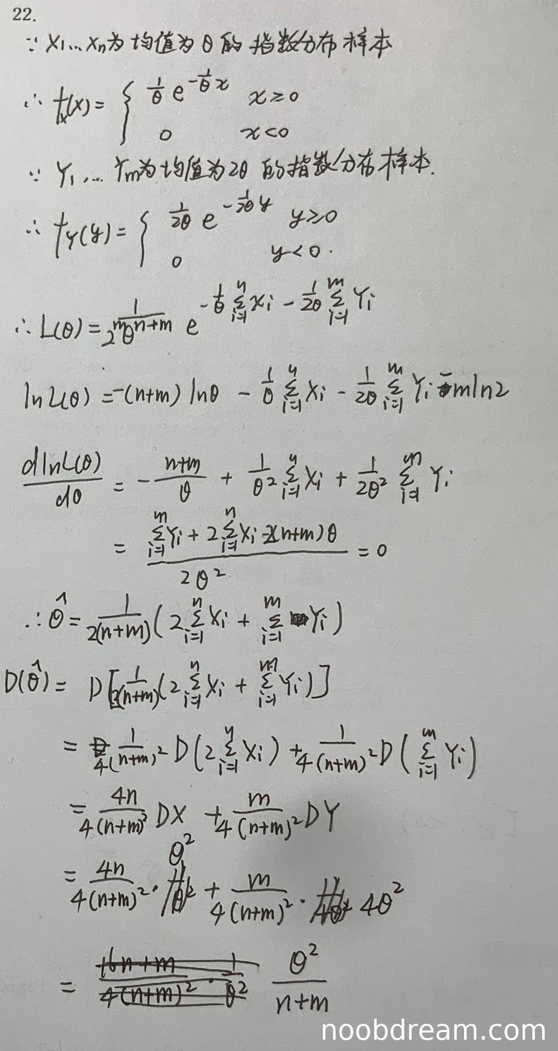
(1)概率密度函数推导(满分2分)
学生正确写出了两个总体的概率密度函数,形式与标准答案一致。得分:2分。
(2)似然函数构造(满分2分)
学生正确构造了似然函数,包括系数和指数部分,与标准答案一致。得分:2分。
(3)对数似然函数(满分2分)
学生正确取对数并写出表达式,与标准答案一致。得分:2分。
(4)最大似然估计量求解(满分3分)
学生正确求导并解出估计量,最终结果与标准答案一致。但在推导过程中写为\(\frac{\sum_{i=1}^{m}y_i+2\sum_{i=1}^{n}x_i-(n+m)\theta}{2\theta^2}=0\),这一步的分子整理方式与标准答案略有不同但等价,不扣分。得分:3分。
(5)方差计算(满分3分)
学生正确计算方差,利用了指数分布方差性质,最终结果与标准答案一致。但在第一步方差展开时写为\(\frac{1}{4(n+m)^2}[4D(\sum x_i)+D(\sum y_i)]\),这里系数应为\(\frac{1}{4(n+m)^2}\),而标准答案中为\(\frac{1}{(m+n)^2}D(\sum X_i)+\frac{1}{4(m+n)^2}D(\sum Y_i)\),两种写法等价(因为\(\frac{1}{4(n+m)^2} \times 4 = \frac{1}{(n+m)^2}\)),不扣分。得分:3分。
题目总分:2+2+2+3+3=12分
登录后发布评论
暂无评论,来抢沙发