文章

202

粉丝

0

获赞

0

访问

107.6k

头像
2025年考研数学(二)考试试题 - 第17题回答
高等数学
发布于2025年10月29日 11:19
阅读数 637


评分及理由

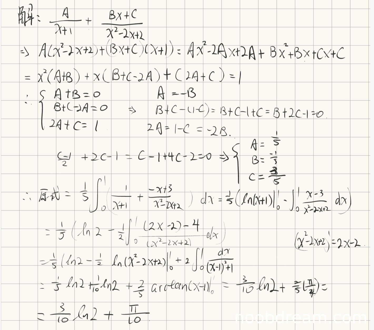
(1)部分分式分解(满分2分)

学生正确设定了部分分式分解形式,并建立了方程组。求解过程完整,得到A=1/5, B=-1/5, C=3/5,与标准答案一致。此部分完全正确,得2分。

(2)积分计算过程(满分6分)

学生将积分分解为三部分计算:

  • 第一项∫1/(x+1)dx计算正确,得1分
  • 第二项处理(-x+3)/(x²-2x+2)时,正确拆分为(2x-2)/(x²-2x+2)和1/((x-1)²+1)两部分,得2分
  • 对(2x-2)/(x²-2x+2)的积分处理正确,得1分
  • 对1/((x-1)²+1)的积分处理正确,得1分
  • 代入上下限计算正确,得1分

此部分完全正确,得6分。

(3)最终结果(满分2分)

学生得到最终结果(3/10)ln2 + π/10,与标准答案完全一致。此部分得2分。

题目总分:2+6+2=10分

登录查看完整内容


登录后发布评论

暂无评论,来抢沙发