文章
179
粉丝
0
获赞
0
访问
41.9k

评分及理由
(1)得分及理由(满分6分)
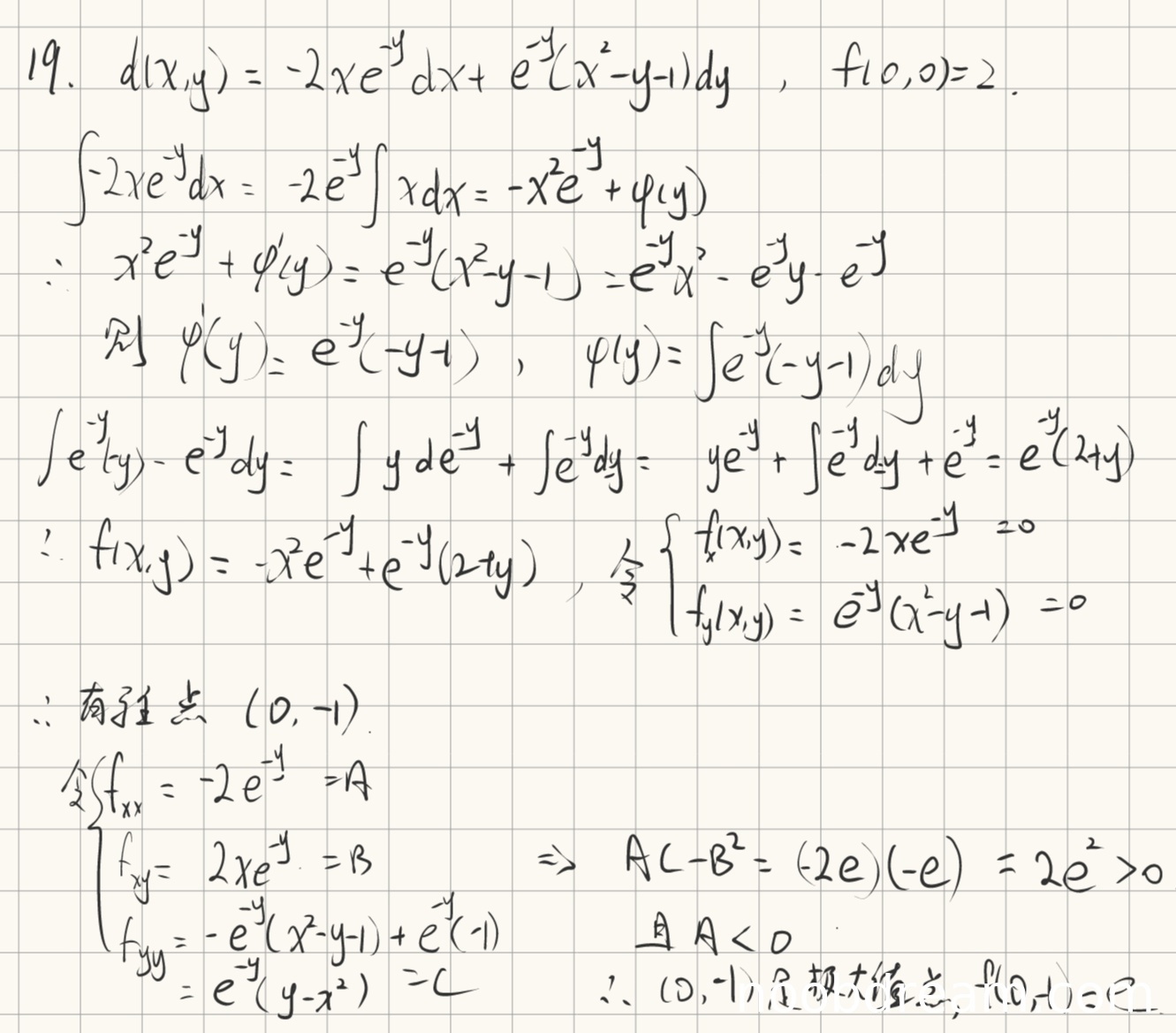
学生正确求解了函数f(x,y)。通过积分得到f(x,y) = -x²e⁻ʸ + φ(y),然后通过偏导数关系求得φ'(y) = e⁻ʸ(-y-1),积分得到φ(y) = e⁻ʸ(2+y)。最后利用初始条件f(0,0)=2确定常数项为0。整个过程思路清晰,计算正确,得6分。
(2)得分及理由(满分3分)
学生正确求解了驻点。通过令偏导数为零得到方程组,解得x=0,y=-1,得到驻点(0,-1)。计算过程正确,得3分。
(3)得分及理由(满分3分)
学生正确进行了极值判断。计算了二阶偏导数:fₓₓ = -2e⁻ʸ,fₓᵧ = 2xe⁻ʸ,fᵧᵧ = e⁻ʸ(y-x²)。在驻点(0,-1)处,A = -2e,B = 0,C = -e。计算AC-B² = 2e² > 0且A < 0,判断为极大值点,极大值f(0,-1) = e。虽然fᵧᵧ的表达式与标准答案形式不同,但计算结果一致,不影响判断,得3分。
题目总分:6+3+3=12分
登录后发布评论
暂无评论,来抢沙发