2025年考研数学(二)考试试题 - 第20题回答
高等数学
发布于2025年10月29日 11:19
阅读数 425

评分及理由
(1)得分及理由(满分12分)
学生作答整体思路正确:
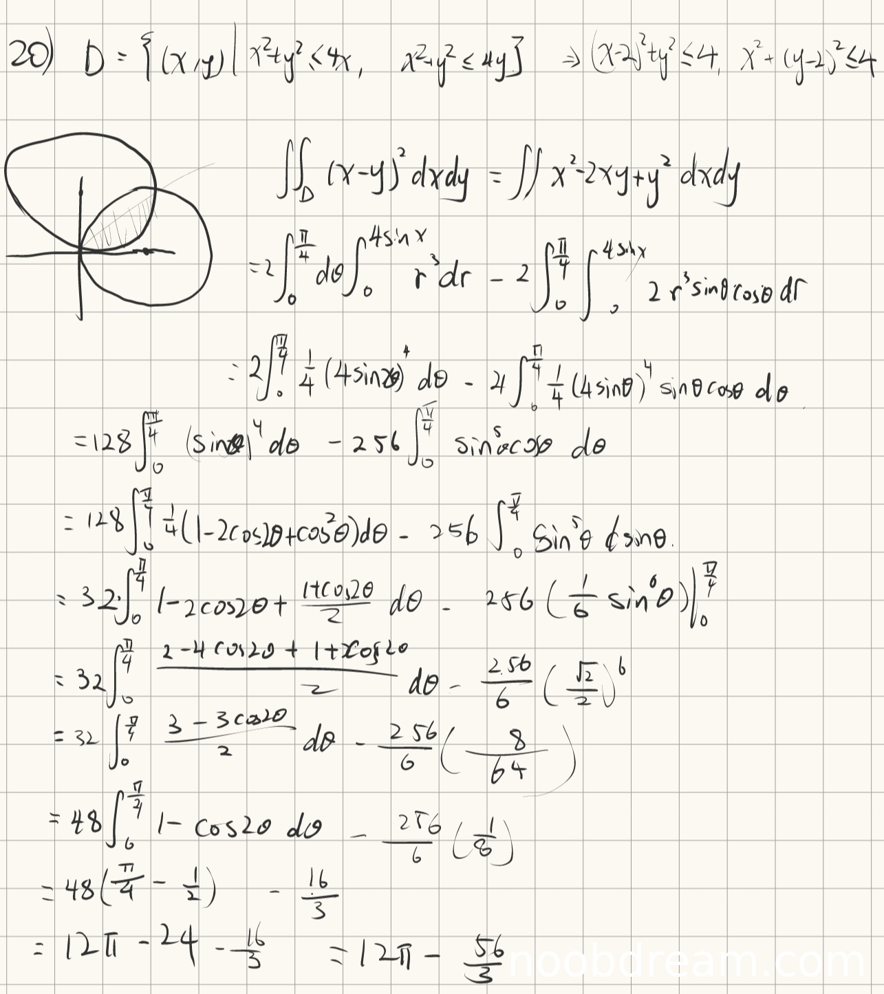
- 正确识别积分区域D是两个圆的交集,并利用对称性简化计算。
- 正确转换为极坐标形式,并设置积分限为θ∈[0,π/4],r∈[0,4sinθ]。
- 正确展开被积函数(x-y)² = x²+y²-2xy。
- 三角函数积分计算过程基本正确。
但存在以下问题:
- 在极坐标积分中,r的上限应为min(4cosθ,4sinθ),学生只取了4sinθ,这是逻辑错误。
- 最终计算结果12π-56/3与正确答案12π-16/3不符,这是计算错误。
考虑到学生思路基本正确,主要错误在于积分区域的处理,扣4分。
得分:8分
题目总分:8分
登录后发布评论
暂无评论,来抢沙发