文章
278
粉丝
0
获赞
0
访问
39.9k

评分及理由
(1)得分及理由(满分10分)
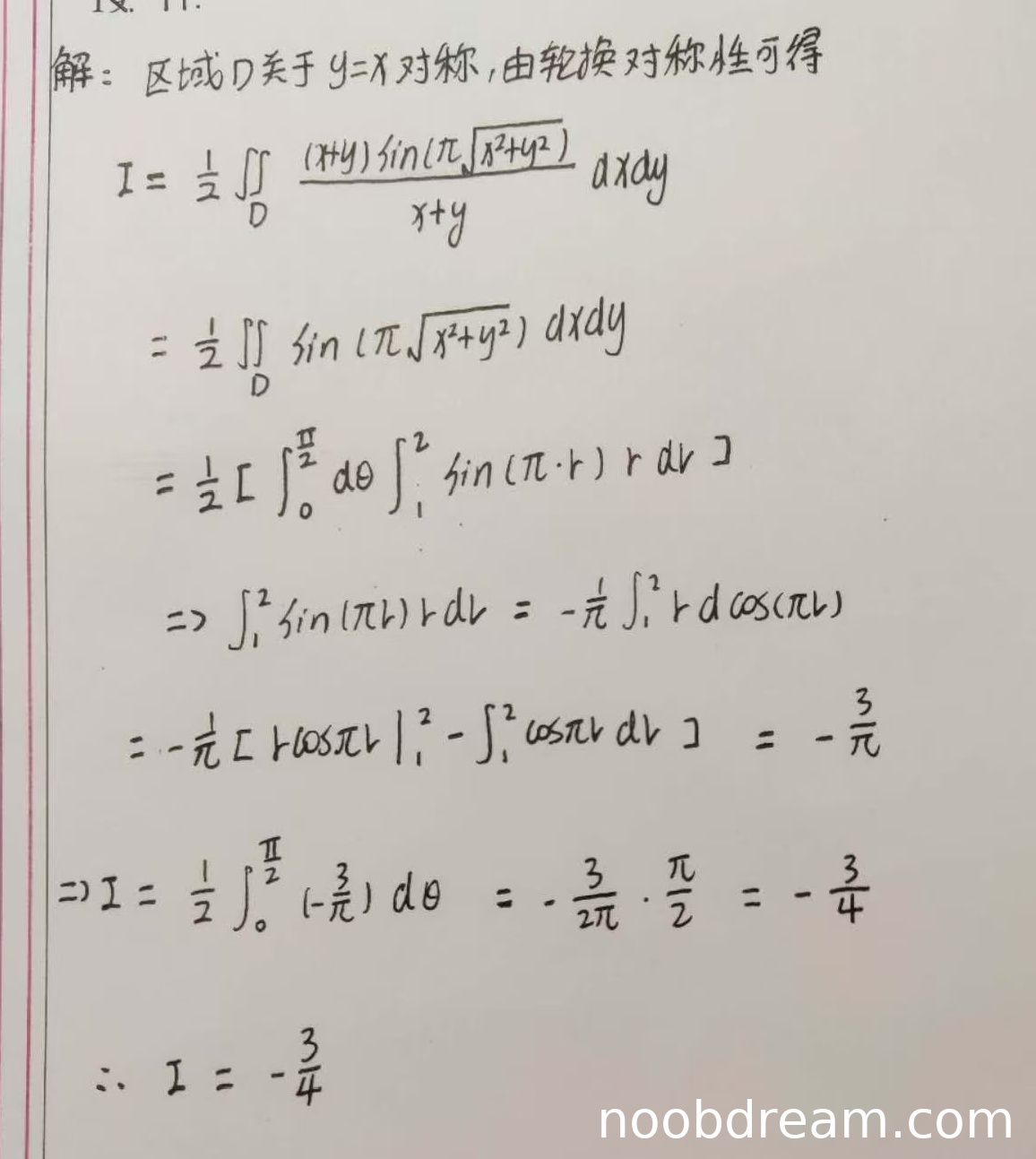
学生正确使用了轮换对称性,将原积分转化为 \(\frac{1}{2}\iint_D \sin(\pi\sqrt{x^2+y^2})dxdy\),这一步与标准答案一致,思路正确。
在极坐标变换部分,学生正确写出积分区域为 \(0 \leq \theta \leq \frac{\pi}{2}\),\(1 \leq r \leq 2\),并正确写出被积函数为 \(\sin(\pi r) \cdot r\),这一步正确。
在计算 \(\int_1^2 r\sin(\pi r)dr\) 时,学生使用了分部积分法,但中间计算出现错误:
令 \(u = r, dv = \sin(\pi r)dr\),则 \(du = dr, v = -\frac{1}{\pi}\cos(\pi r)\)
\(\int_1^2 r\sin(\pi r)dr = \left[-\frac{r}{\pi}\cos(\pi r)\right]_1^2 + \frac{1}{\pi}\int_1^2 \cos(\pi r)dr\)
\(= \left[-\frac{2}{\pi}\cos(2\pi) + \frac{1}{\pi}\cos(\pi)\right] + \frac{1}{\pi^2}[\sin(\pi r)]_1^2\)
\(= \left[-\frac{2}{\pi} \cdot 1 + \frac{1}{\pi} \cdot (-1...
登录后发布评论
暂无评论,来抢沙发