文章

509

粉丝

0

获赞

1

访问

204.0k

头像
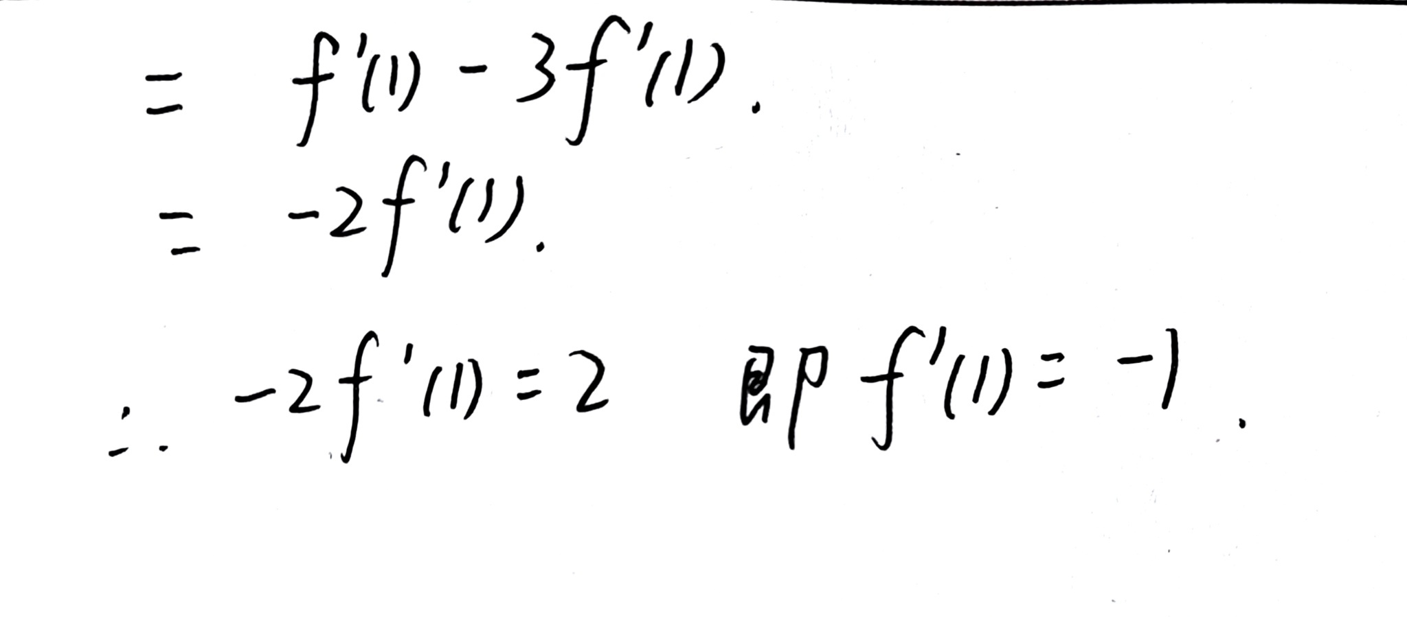
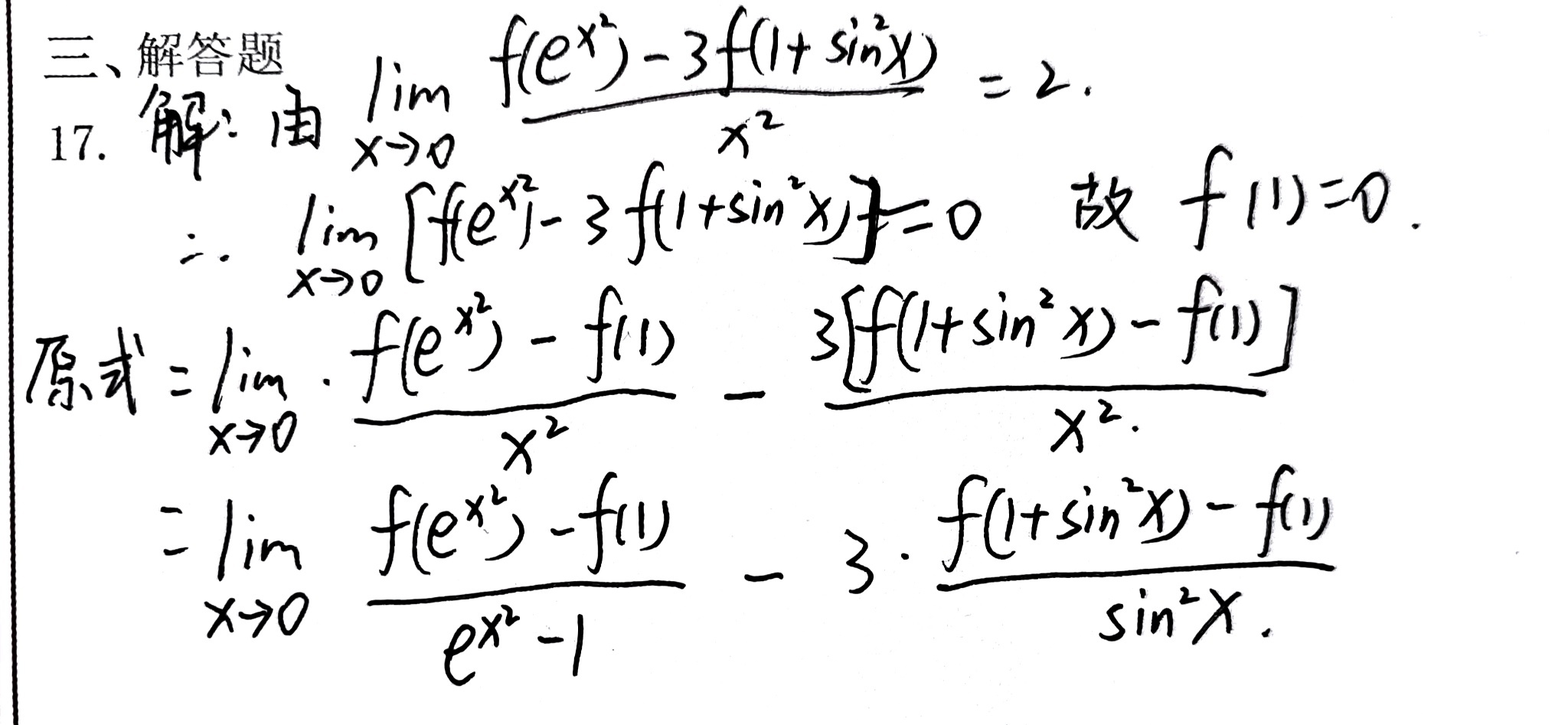
2022年考研数学(二)考试试题 - 第17题回答
高等数学
发布于2025年10月29日 19:09
阅读数 253


评分及理由

(1)得分及理由(满分10分)

学生作答内容:由于识别结果为空,无法判断具体解答内容。

评分依据:根据题目要求,若识别结果为空或无法判断解答内容,则视为未作答。按照考试评分标准,未作答的题目得0分。

扣分说明:未提供任何有效解答过程或结果,故不得分。

得分:0分

题目总分:0分

登录查看完整内容


登录后发布评论

暂无评论,来抢沙发