文章
225
粉丝
0
获赞
1
访问
10.5k

评分及理由
(1)得分及理由(满分6分)
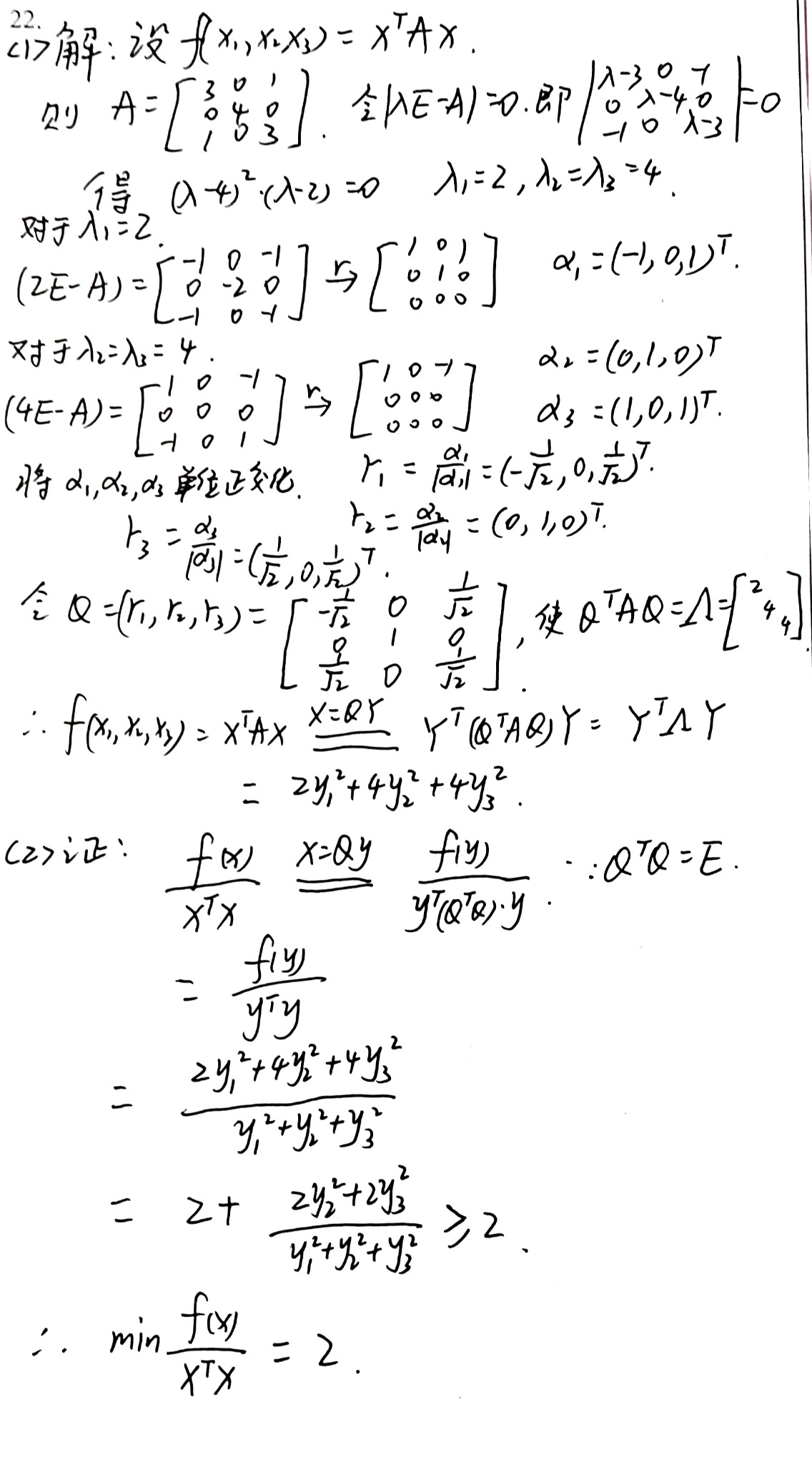
学生正确写出了二次型矩阵A,计算了特征多项式并得到特征值λ=2,4,4。在求特征向量时,对于λ=2得到α₁=(-1,0,1)ᵀ,对于λ=4得到α₂=(0,1,0)ᵀ和α₃=(1,0,1)ᵀ,这些特征向量相互正交,单位化后得到正交矩阵Q。
但学生在构造正交矩阵Q时,将特征向量的排列顺序写为(γ₁,γ₂,γ₃),其中γ₁对应特征值2,γ₂和γ₃对应特征值4,这与标准答案中先排特征值4对应的特征向量不同,导致最终的标准形为2y₁²+4y₂²+4y₃²而非4y₁²+4y₂²+2y₃²。
虽然排列顺序不同,但这是正确的解法,不影响最终结果。考虑到学生完整完成了特征值、特征向量的求解和正交化单位化过程,仅因特征向量排列顺序与标准答案不一致,不构成实质性错误。
扣分:0分
得分:6分
(2)得分及理由(满分6分)
学生正确利用了正交变换x=Qy的性质,得到f(x)=2y₁²+4y₂²+4y₃²和xᵀx=y₁²+y₂²+y₃²。通过将分式化为2+(2y₂²+2y₃²)/(y₁²+y₂²+y₃²)的形式,正确得出该表达式≥2,并得到最小值为2。
虽然标准形与标准答案形式不同(系数的排列顺序不同),但这不影响最小值的结果,证明过程和结论完全正确。
扣分:0分
得分:6分
题目总分:6+6=12分
登录后发布评论
暂无评论,来抢沙发