文章

509

粉丝

0

获赞

1

访问

203.9k

头像
2022年考研数学(二)考试试题 - 第17题回答
高等数学
发布于2025年10月29日 19:19
阅读数 482


评分及理由

(1)得分及理由(满分10分)

学生作答的步骤与标准答案基本一致,思路正确且计算无误。具体分析如下:

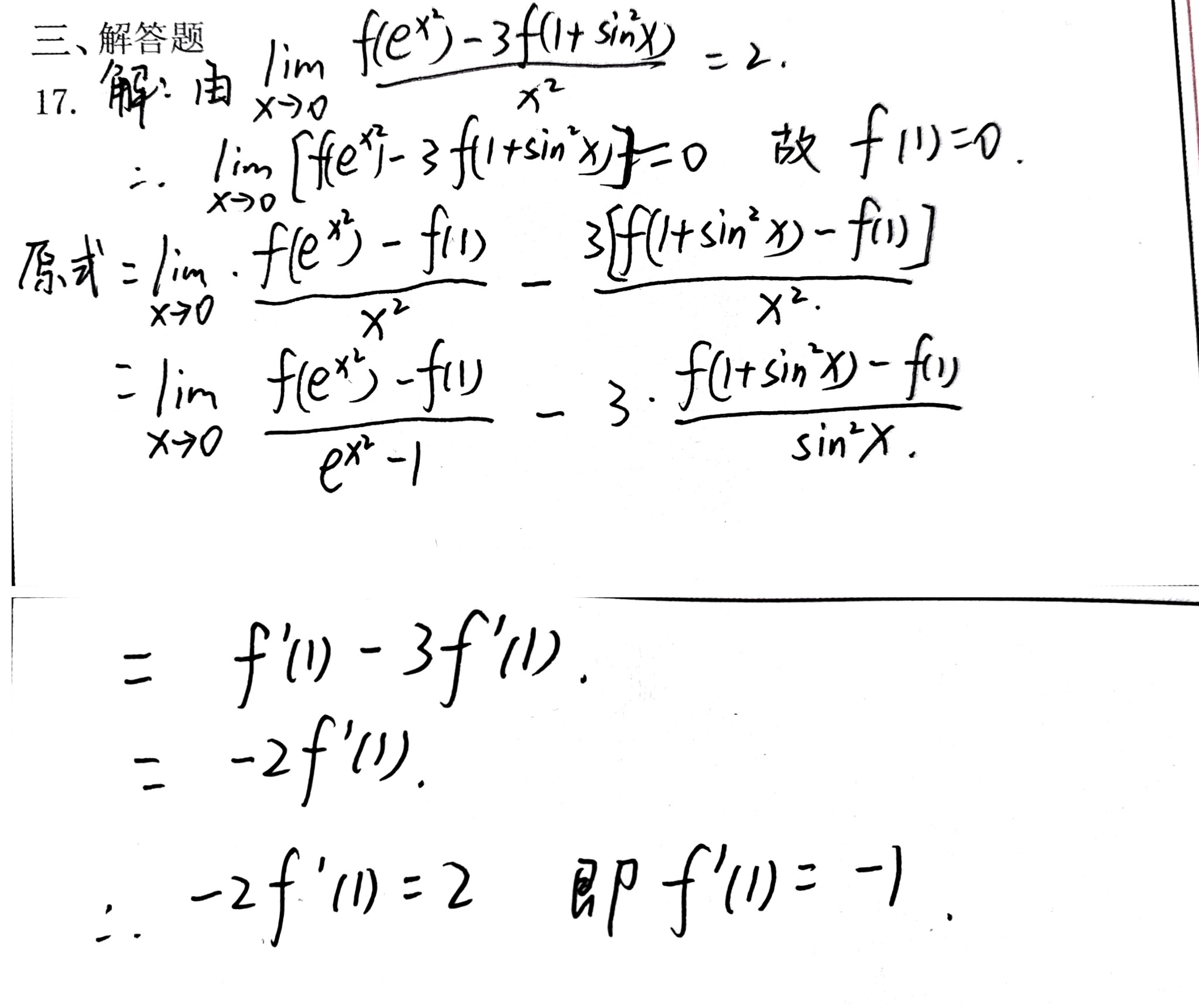
  • 第一步正确推导出 \(f(1) = 0\),理由充分,与标准答案一致。
  • 第二步正确应用导数定义和等价无穷小替换,将极限拆分为两个部分,并分别计算得到 \(f'(1)\),逻辑清晰。
  • 第三步正确代入已知极限值,解得 \(f'(1) = -1\),计算无误。

尽管学生作答中有一处笔误(“等价无穷 - 小替换”应为“等价无穷小替换”),但根据禁止扣分规则,不影响核心逻辑,不扣分。

因此,本题得分为10分。

题目总分:10分

登录查看完整内容


登录后发布评论

暂无评论,来抢沙发