文章
225
粉丝
0
获赞
1
访问
10.5k

评分及理由
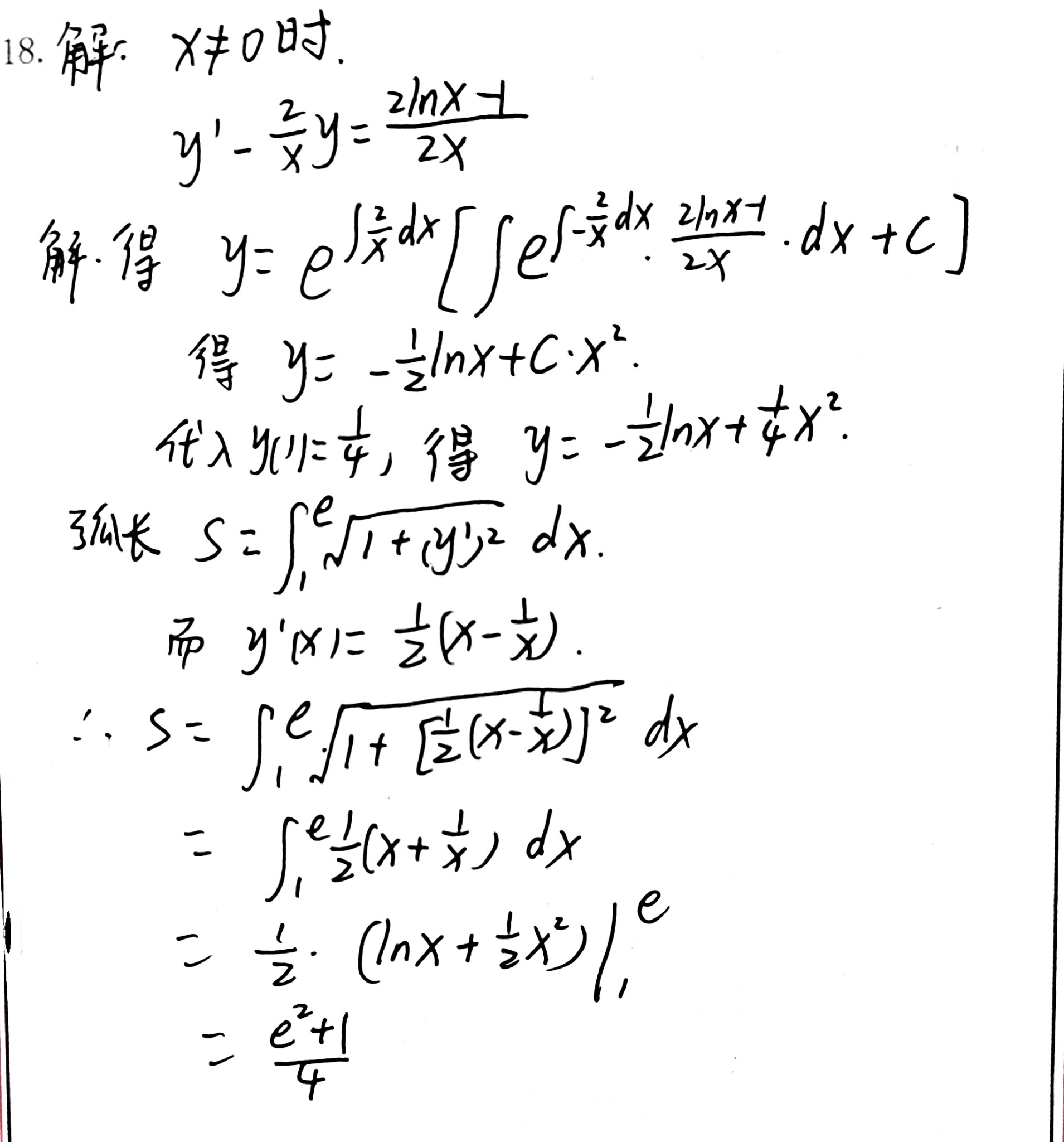
(1)步骤一:求解微分方程(满分6分)
学生正确识别微分方程类型,应用一阶线性非齐次微分方程的通解公式,计算积分过程正确,得到通解 \(y = -\frac{1}{2}\ln x + Cx^2\)。代入初始条件 \(y(1)=\frac{1}{4}\) 正确解得 \(C=\frac{1}{4}\),最终得到正确特解 \(y = -\frac{1}{2}\ln x + \frac{1}{4}x^2\)(与标准答案等价)。此步骤无任何逻辑错误,得满分6分。
(2)步骤二:计算曲线弧长(满分6分)
学生正确写出弧长公式 \(S = \int_{1}^{e}\sqrt{1+(y')^2}dx\),正确求导得 \(y' = \frac{1}{2}(x-\frac{1}{x})\)。在计算被积函数时: \[ \sqrt{1+[\frac{1}{2}(x-\frac{1}{x})]^2} = \sqrt{1+\frac{1}{4}(x^2-2+\frac{1}{x^2})} = \sqrt{\frac{1}{4}(x^2+2+\frac{1}{x^2})} = \frac{1}{2}(x+\frac{1}{x}) \] 化简过程完全正确。积分计算: \[ \frac{1}{2}\int_{1}^{e}(x+\frac{1}{x})dx = \frac{1}{2}(\frac{x^2}{2}+\ln x)\Big|_{1}^{e} \] 正确,代入上下限得 \(\frac{1}{2}(\frac{e^2}{2}+1-\frac{1}{2}-0) = \frac{e^2+1}{4}\),结果正确。此步骤无任何逻辑错误,得满分6分。
题目总分:6+6=12分
登录后发布评论
暂无评论,来抢沙发