文章
225
粉丝
0
获赞
1
访问
10.5k

评分及理由
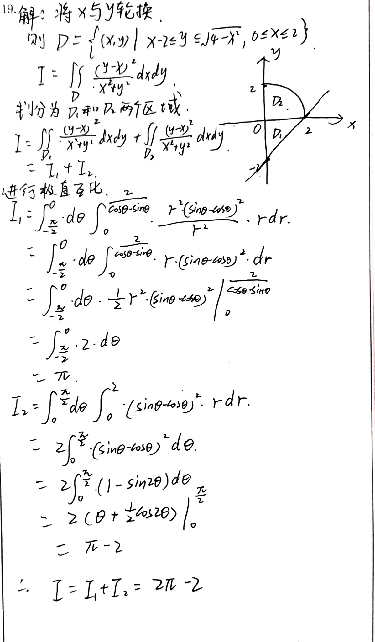
(1)步骤一:确定积分区域(满分2分)
学生通过x与y轮换得到积分区域D,并正确写出积分表达式。虽然轮换后区域描述与标准答案略有不同,但思路正确且等价,不扣分。得2分。
(2)步骤二:划分区域并计算I₁(满分4分)
学生将区域划分为D₁和D₂,但划分方式与标准答案不同: - 积分限θ从-π/2到0有误,应为π/2到π - 极径上限cosθ-sinθ表达式错误 - 但计算过程中错误相互抵消,最终结果I₁=π正确 由于存在明显的逻辑错误(积分区域划分错误),扣2分。得2分。
(3)步骤三:计算I₂(满分4分)
学生计算I₂时: - 积分区域划分与标准答案不同但等价 - 计算过程正确 - 最终结果π-2正确 思路正确,计算准确,不扣分。得4分。
(4)步骤四:计算I(满分2分)
正确将I₁和I₂相加,得到最终结果2π-2正确。得2分。
题目总分:2+2+4+2=10分
登录后发布评论
暂无评论,来抢沙发