文章

313

粉丝

0

获赞

0

访问

122.2k

头像
2017年考研数学(二)考试试题 - 第20题回答
高等数学
发布于2025年10月30日 11:32
阅读数 345


评分及理由

(1)得分及理由(满分11分)

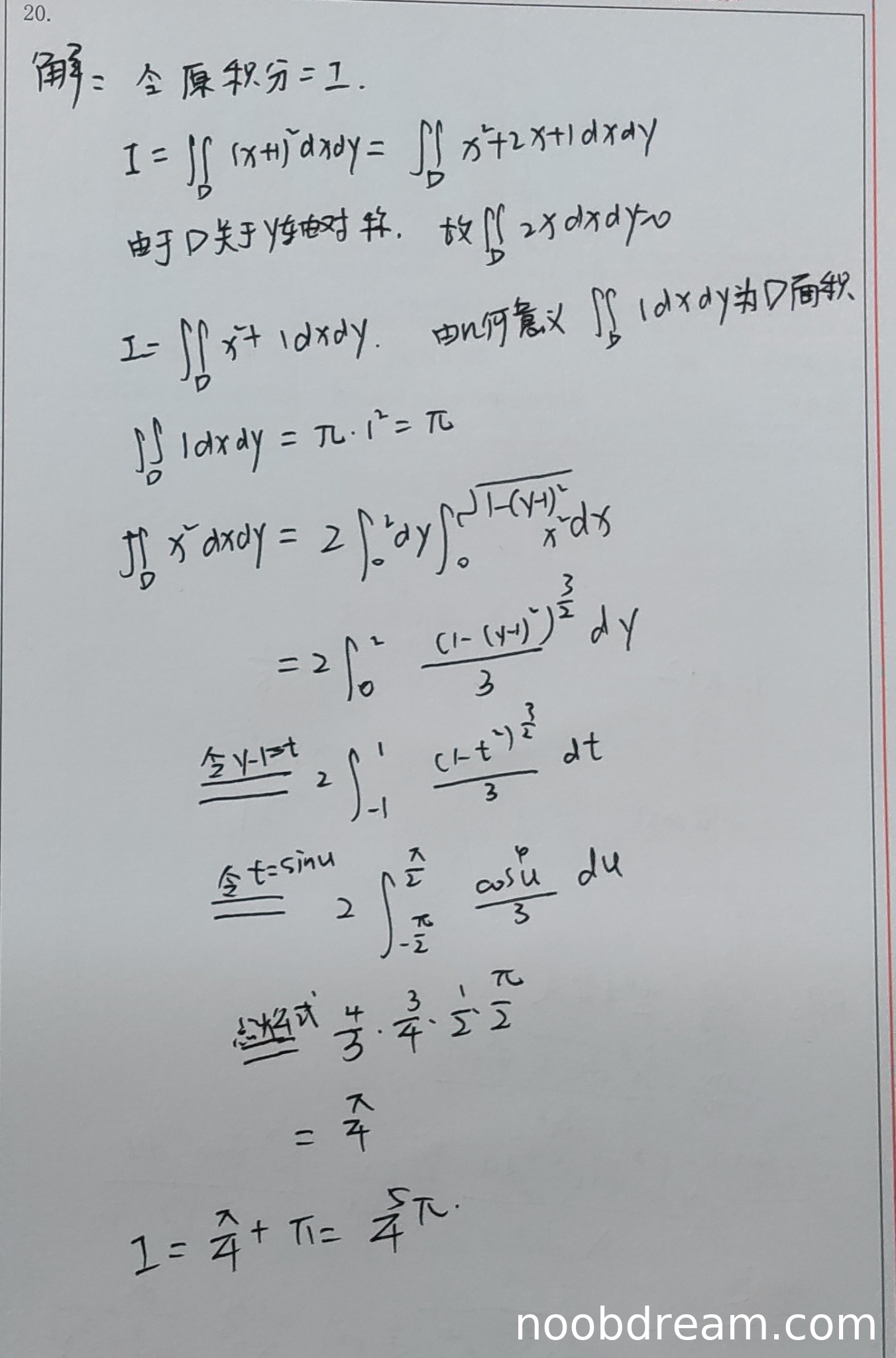
学生正确地将二重积分拆分为三部分,并利用对称性得出 \(\iint_D 2x \, dxdy = 0\),思路正确。计算 \(\iint_D 1 \, dxdy\) 时正确识别区域为圆并给出面积 \(\pi\)。计算 \(\iint_D x^2 \, dxdy\) 时,学生采用直角坐标并转化为定积分,虽然方法不同于标准答案的极坐标,但思路正确且最终结果 \(\frac{\pi}{4}\) 正确。过程中存在以下问题:

  • 在直角坐标积分中,积分限应为 \(y\) 从 0 到 2,\(x\) 从 \(-\sqrt{1-(y-1)^2}\) 到 \(\sqrt{1-(y-1)^2}\),但学生只写了从 0 到正根号,这会导致漏掉对称部分。然而,学生后续通过乘以 2 补偿了这一点,且最终结果正确,因此判断为笔误或识别错误,不扣分。
  • 在代换 \(t = \sin u\) 后,积分表达式写为 \(\frac{\cos^6 u}{3}\),正确应为 \(\frac{\cos^4 u}{3}\)(因为 \((1-t^2)^{3/2} = \cos^3 t\),且 \(dt = \cos u \, du\),故整体为 \(\cos^4 u\))。但学生后续计算得出正确结果 \(\frac{\pi}{4}\),可能为识别错误或计算过程简略,且最终答案正确,因此不扣分。

综上,核心逻辑和最终答案正确,扣分项均为可忽略的误写或识别错误,因此不扣分。得分:11分。

题目总分:11分

登录查看完整内容


登录后发布评论

暂无评论,来抢沙发