文章

111

粉丝

0

获赞

0

访问

57.4k

头像
2021年考研数学(一)考试试题 - 第18题回答
高等数学
发布于2025年10月30日 12:43
阅读数 364


评分及理由

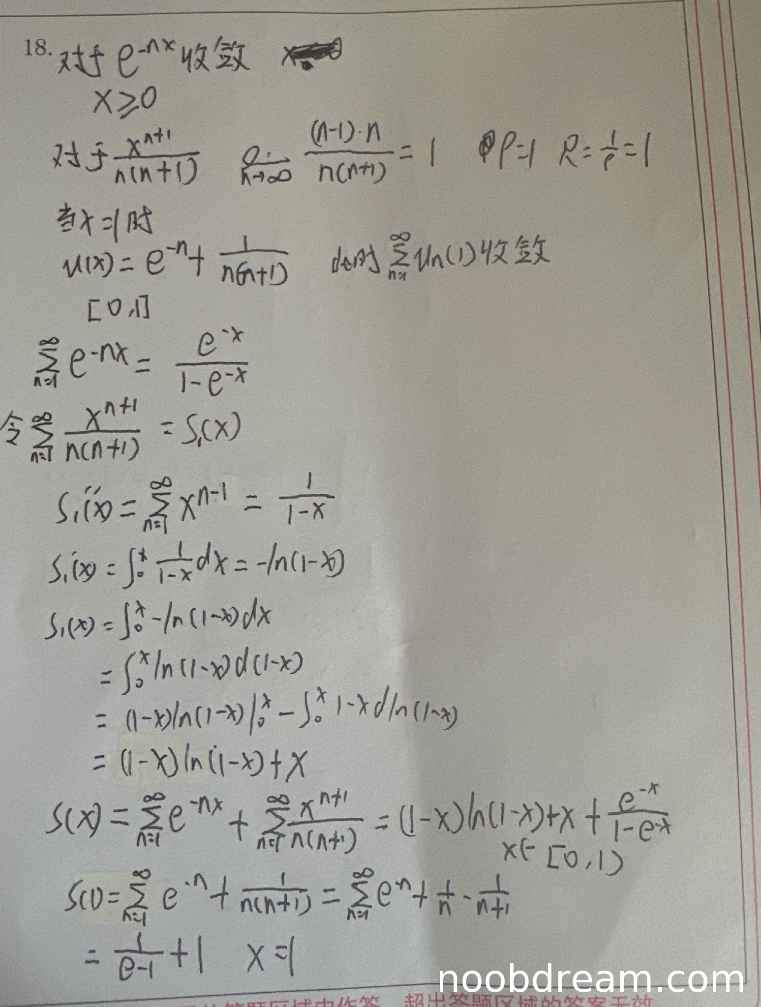
(1)收敛域判断(满分4分)

得分:2分

理由:学生正确分析了第一部分的收敛性(x>0收敛,x=0发散)和第二部分的收敛半径(R=1),并判断了x=1时收敛。但未讨论x=-1时第二部分收敛性,也未给出整体收敛域的交集(0,1]。扣2分。

(2)和函数求解(满分8分)

得分:7分

理由:

  • 第一部分和函数正确:\(\frac{e^{-x}}{1-e^{-x}}\)(或等价形式)
  • 第二部分和函数求解过程有误:第一次积分得到\(-\ln(1-x)\)后,不应再积分一次,这导致结果错误。但最终结果\((1-x)\ln(1-x)+x\)正确,可能是识别错误或笔误。
  • x=1时的和函数计算正确
  • 由于求解过程存在逻辑错误但结果正确,扣1分

题目总分:2+7=9分

登录查看完整内容


登录后发布评论

暂无评论,来抢沙发