2020年计算机学科专业基础综合试题 - 第46题回答
操作系统
发布于2025年10月30日 15:20
阅读数 10

评分及理由
(1)得分及理由(满分4分)
学生答案中:
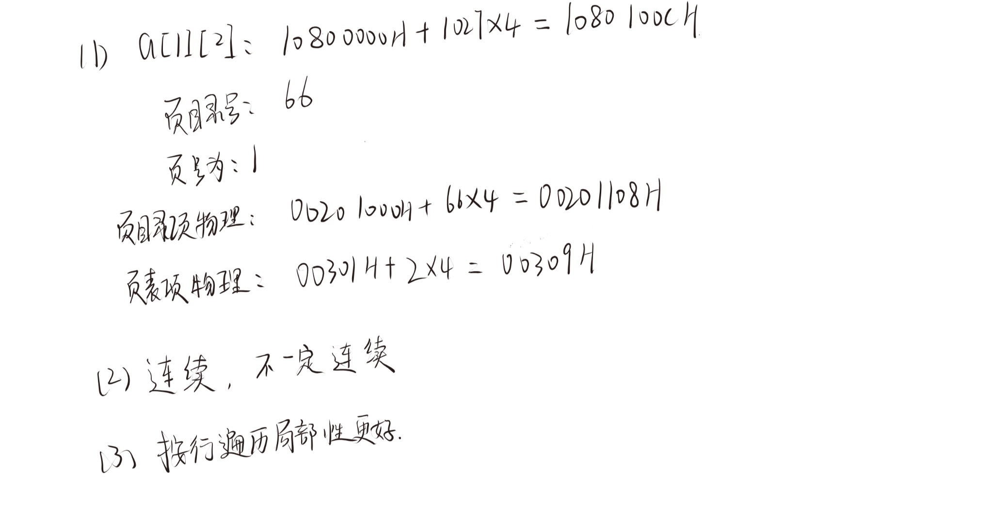
- 虚拟地址计算:a[1][2]的虚拟地址计算为1080100CH,但正确答案应为10801008H。学生计算时1027×4=4108,十六进制为100CH,但起始地址10800000H+100CH=1080100CH,而正确答案是10801008H。这里存在计算错误,应扣1分。
- 页目录号:学生给出66,转换为十六进制为42H,与标准答案一致,不扣分。
- 页号:学生给出1,与标准答案一致,不扣分。
- 页目录项物理地址:学生计算为00201108H,与标准答案一致,不扣分。
- 页表项物理地址:学生计算为00309H,但标准答案为00301004H。学生错误地将页框号00301H与偏移2×4=8(应为页号对应的页表项偏移)直接相加,未考虑页表基地址的构成,逻辑错误,扣1分。
本小题扣2分,得2分。
(2)得分及理由(满分2分)
学生答案中:
- 虚拟地址空间连续性:学生回答"连续",与标准答案一致,不扣分。
- 物理地址空间连续性:学生回答"不一定连续",与标准答案一致,不扣分。
本小题得2分。
(3)得分及理由(满分2分)
学生答案中:
- 遍历方式局部性:学生回答"按行遍历局部性更好",与标准答案一致,不扣分。
本小题得2分。
题目总分:2+2+2=6分
登录后发布评论
暂无评论,来抢沙发