2025年合工大超越5+5套卷(二) - 第17题回答
高等数学
发布于2025年10月31日 23:08
阅读数 409

评分及理由
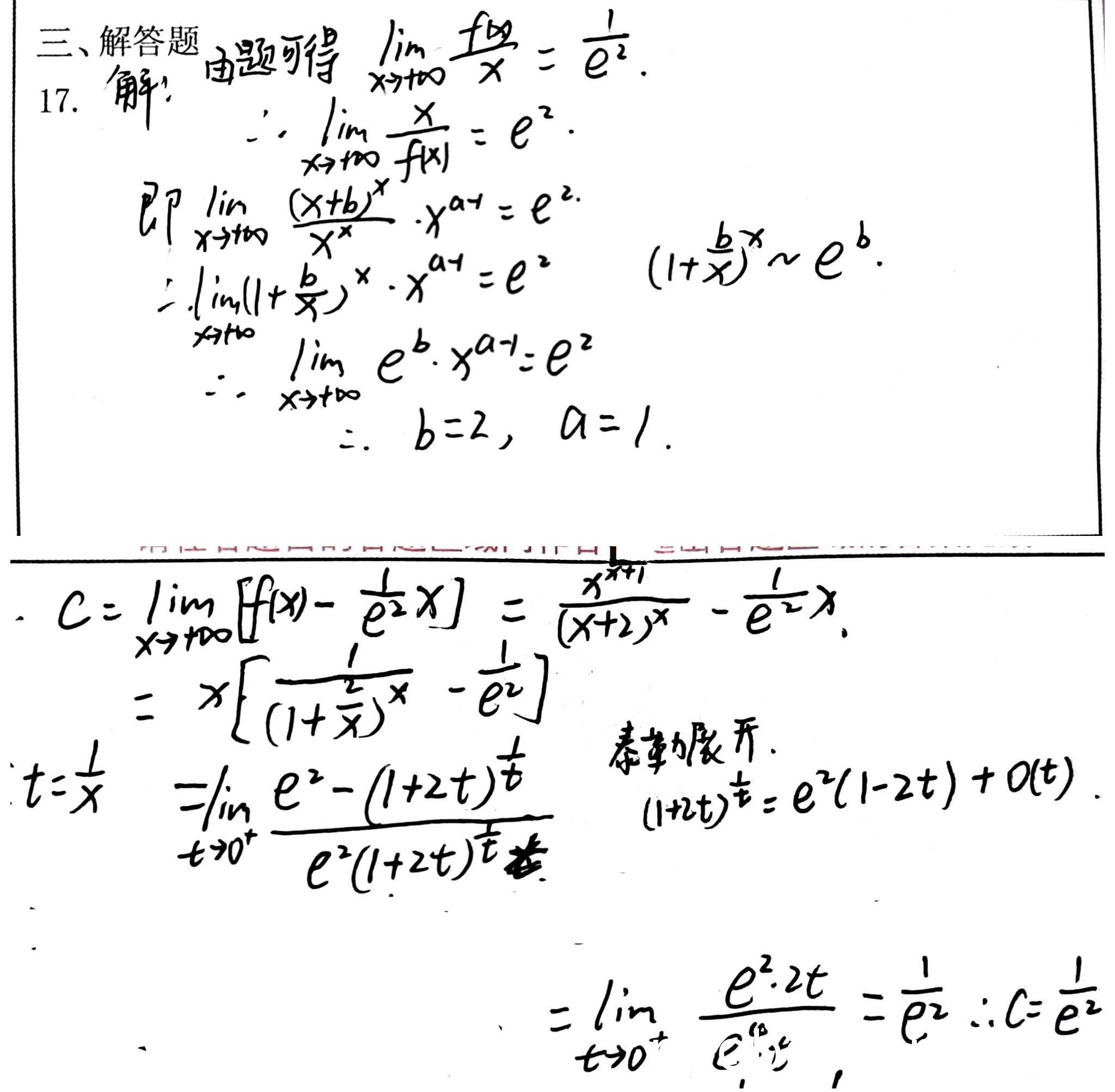
(1)a的得分及理由(满分2分)
学生正确得出a=1,推导过程与标准答案思路一致,虽然表达略有不同但逻辑正确。得2分。
(2)b的得分及理由(满分2分)
学生正确得出b=2,推导过程合理。得2分。
(3)c的得分及理由(满分6分)
学生在求c值时存在严重逻辑错误:
- 错误1:将渐近线表达式写为f(x)-x/e²,但标准形式应为f(x)-kx(其中k=1/e²)
- 错误2:在计算极限时,错误地将f(x)简化为(1+2/x)^x,忽略了原函数中分子是x^(a+x)=x^(x+1)
- 错误3:泰勒展开(1+2t)^(1/t)=e²(1-2t)+o(t)不正确,正确的展开应为e²(1-2t+4t²)+o(t²)
- 错误4:最终结果c=1/e²与正确答案2/e²不符
由于核心计算思路和结果均错误,扣4分,得2分。
题目总分:2+2+2=6分
登录后发布评论
暂无评论,来抢沙发