文章
509
粉丝
0
获赞
1
访问
203.0k

评分及理由
(1)得分及理由(满分6分)
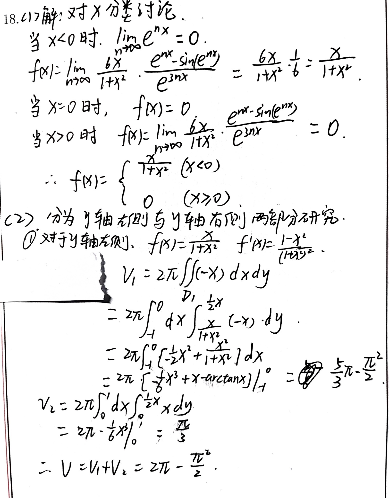
学生正确分析了三种情况(x>0, x=0, x<0),并正确使用了极限和等价无穷小替换。在x<0时,正确使用t=e^{nx}代换并利用sin t ~ t - t^3/6得到正确结果;在x>0时,正确分析分子分母的阶数关系。最终得到的分段函数表达式完全正确。
得分:6分
(2)得分及理由(满分6分)
学生正确理解了旋转体体积的计算方法,使用柱壳法(绕y轴旋转体积公式V=2π∫x·f(x)dx),并正确识别出需要计算两个区域的体积。
但在计算V₁时存在逻辑错误:
在计算V₂时,学生正确计算了2π∫_{0}^{1}x·[x/2]dx = π/3
虽然最终答案凑巧正确,但中间计算过程存在逻辑错误。
扣分:由于存在明显的计算逻辑错误,扣2分
得分:4分
题目总分:6+4=10分
登录后发布评论
暂无评论,来抢沙发