文章
509
粉丝
0
获赞
1
访问
237.2k

评分及理由
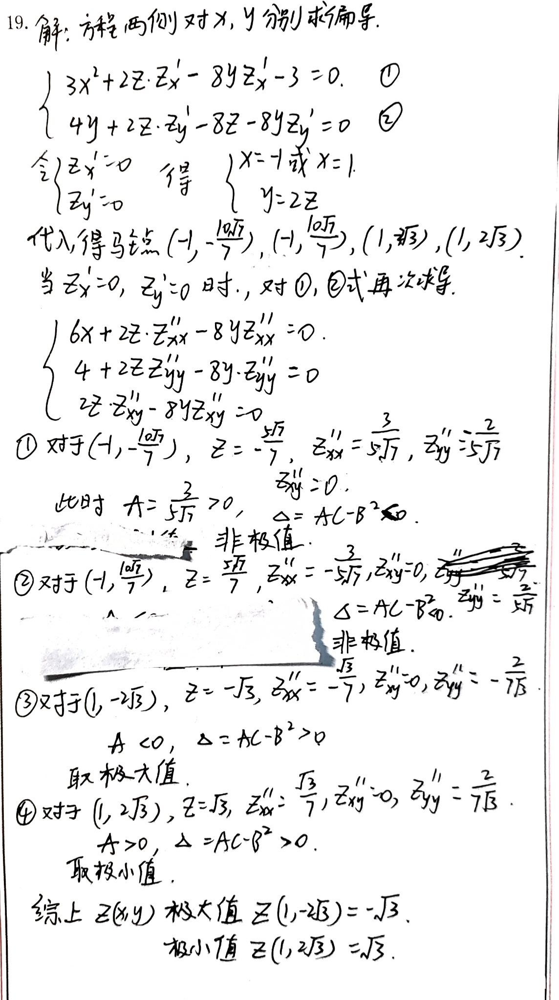
(1)求偏导及驻点(满分4分)
学生正确计算了偏导数并令其为零,得到驻点条件 \(x^2=1\) 和 \(y=2z\),并代入原方程求得四个驻点,与标准答案一致。此处得4分。
(2)二阶偏导数计算(满分4分)
学生对隐函数求导公式理解正确,但在计算二阶偏导数时存在逻辑错误。标准答案中二阶偏导数的分母是 \((8y-2z)^2\),而学生直接对原方程求导时忽略了分母的影响,导致二阶偏导数值与标准答案不一致。虽然思路正确,但具体计算有误,扣2分。此处得2分。
(3)极值判定(满分4分)
学生在极值判定时使用了正确的判别方法(AC-B²),但在具体计算判别式时出现错误:
- 对于点(1,-2√3)和(1,2√3),学生计算得到Δ>0,而标准答案中Δ<0。这导致极值判定结论错误。
- 对于点(-1,±10√7/7),学生计算Δ≤0,而标准答案中Δ>0。这也导致判定结论错误。
由于极值判定结论多处错误,扣3分。此处得1分。
题目总分:4+2+1=7分
登录后发布评论
暂无评论,来抢沙发