文章
248
粉丝
0
获赞
1
访问
16.2k

评分及理由
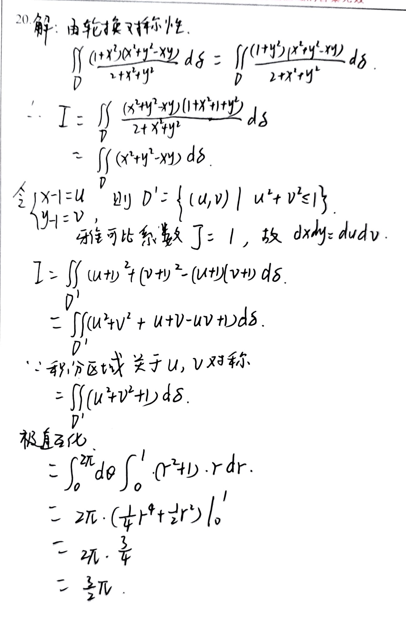
(1)利用轮换对称性化简积分(满分4分)
学生正确使用了轮换对称性,将原积分转化为两个对称形式的平均值,并正确推导出 \( I = \iint_D (x^2 + y^2 - xy) d\sigma \)。这一步思路正确,计算无误,得4分。
(2)变量代换处理(满分4分)
学生进行了正确的变量代换 \( x = 1 + u, y = 1 + v \),将积分区域转换为单位圆。在化简被积函数时,学生写为 \( u^2 + v^2 + u + v - uv + 1 \),然后指出由于对称性,\( \iint_{D'} (u + v - uv) d\sigma = 0 \),从而得到 \( I = \iint_{D'} (u^2 + v^2 + 1) d\sigma \)。这里需要验证对称性:
因此这一步整体正确,得4分。
(3)极坐标计算(满分4分)
学生正确转换为极坐标,积分区域 \( 0 \le r \le 1, 0 \le \theta \le 2\pi \),被积函数 \( u^2 + v^2 + 1 = r^2 + 1 \),面积元素 \( r dr d\theta \),所以积分变为 \( \int_0^{2\pi} d\theta \int_0^1 (r^3 + r) dr \)。计算: \[ \int_0^1 (r^3 + r) dr ...
登录后发布评论
暂无评论,来抢沙发