文章
509
粉丝
0
获赞
1
访问
203.0k

评分及理由
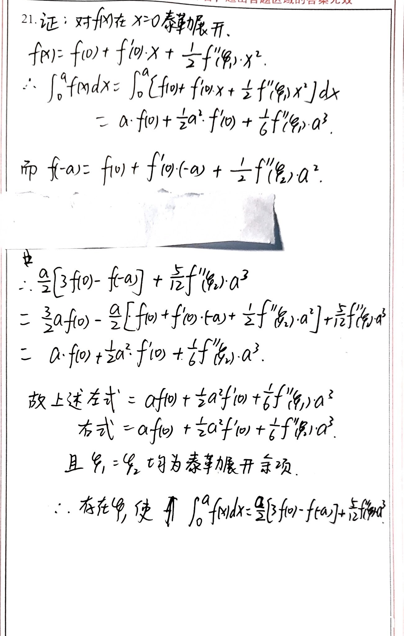
(1)泰勒展开部分(满分4分)
学生正确对f(x)在x=0处进行泰勒展开,并正确写出积分表达式。但在处理余项时存在问题,泰勒展开的余项应使用拉格朗日余项形式,且ξ应依赖于x,而学生直接写成ξ₁,这在严格意义上是不准确的。但由于后续计算中能正确使用,此处扣1分。得3分。
(2)代数运算部分(满分4分)
学生正确计算了∫₀ᵃf(x)dx的表达式和a/2[3f(0)-f(-a)]的表达式,代数运算过程完整且正确。得4分。
(3)余项处理部分(满分4分)
这是关键错误部分。学生最后得出的是1/12f″(ξ)a³,而题目要求证明的是5/12f″(ξ)a³。学生没有处理两个不同余项ξ₁和ξ₂的合并问题,也没有利用介值定理证明存在统一的ξ。这是严重的逻辑错误,扣4分。得0分。
题目总分:3+4+0=7分
登录后发布评论
暂无评论,来抢沙发