文章
337
粉丝
0
获赞
0
访问
131.7k

评分及理由
(1)得分及理由(满分5分)
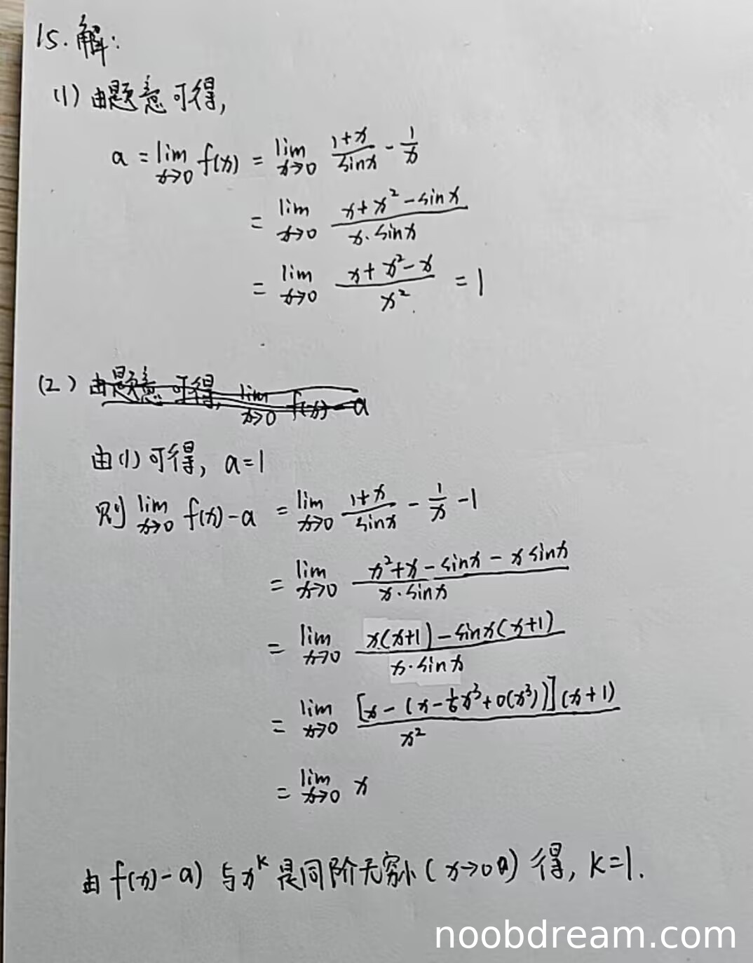
学生作答中,第一步计算极限a的过程存在逻辑错误。在化简过程中,学生将分子中的 \(x + x^2 - \sin x\) 直接替换为 \(x + x^2 - x\),即错误地将 \(\sin x\) 替换为 \(x\),但忽略了高阶无穷小项,导致计算过程不严谨。虽然最终结果a=1正确,但推导过程存在错误。根据评分标准,逻辑错误需要扣分。考虑到结果正确,但过程有误,扣2分。得分为3分。
(2)得分及理由(满分5分)
学生作答中,第二步计算常数k的过程存在多处逻辑错误。首先,在化简 \(f(x)-a\) 时,学生错误地将分子中的 \(x(x+1)-\sin x(x+1)\) 因式分解,但实际分子应为 \(x^2+x-\sin x - x\sin x\),分解错误。其次,在代入泰勒展开时,学生错误地将 \(\sin x\) 展开为 \(x - \frac{1}{6}x^3 + o(x^3)\),但在计算过程中未正确保留高阶项,导致最终极限错误地得到 \(\lim_{x \to 0} x\)。虽然最终k=1正确,但推导过程完全错误。根据评分标准,逻辑错误需要扣分。考虑到结果正确,但过程严重错误,扣4分。得分为1分。
题目总分:3+1=4分
登录后发布评论
暂无评论,来抢沙发