文章

212

粉丝

0

获赞

0

访问

80.5k

头像
2020年考研数学(二)考试试题 - 第15题回答
高等数学
发布于2025年11月1日 14:43
阅读数 303


评分及理由

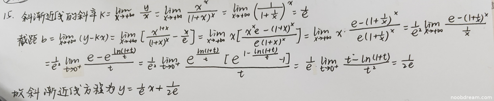
(1)得分及理由(满分10分)

本题满分10分,学生作答整体思路正确,但在计算截距b的过程中存在逻辑错误。

  • 斜率k的计算完全正确,得出了k=1/e的正确结果
  • 截距b的计算思路基本正确,但在变量代换和极限处理过程中出现了逻辑错误:
    • 学生将b的表达式写为$\lim_{x\rightarrow+\infty}x[\frac{x^{x}e-(1+x)^{x}}{e(1+x)^{x}}]$,这一步变形存在问题
    • 在代换$t=\frac{1}{x}$后,表达式变为$\frac{1}{e^{2}}\lim_{t\rightarrow0^{+}}\frac{e-(1+\frac{1}{x})^{x}}{\frac{1}{x}}$,这里存在逻辑混乱
    • 后续的等价无穷小代换和洛必达法则应用虽然思路正确,但由于前面的基础错误,导致整个推导过程存在逻辑缺陷
  • 最终结果正确,但推导过程存在明显逻辑错误

根据评分标准,对于有逻辑错误的答案不能给满分。考虑到学生正确计算出了斜率k,且截距b的最终结果正确,但推导过程存在明显逻辑错误,扣2分。

得分:8分

题目总分:8分

登录查看完整内容


登录后发布评论

暂无评论,来抢沙发