文章
212
粉丝
0
获赞
0
访问
28.8k

评分及理由
(1)得分及理由(满分5分)
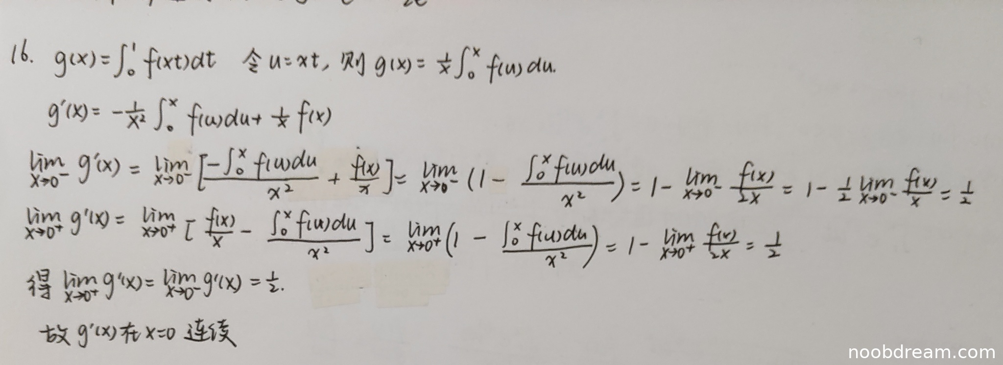
学生正确计算了g'(x)的表达式:g'(x) = -1/x² ∫₀ˣ f(u)du + f(x)/x。这与标准答案中x≠0时的表达式一致。得5分。
(2)得分及理由(满分5分)
学生通过计算左右极限来证明g'(x)在x=0处连续:
- 正确计算了lim_{x→0⁻}g'(x) = 1/2
- 正确计算了lim_{x→0⁺}g'(x) = 1/2
- 得出左右极限相等且等于1/2的结论
虽然学生没有单独计算g'(0),但通过极限计算证明了连续性。得5分。
题目总分:5+5=10分
登录后发布评论
暂无评论,来抢沙发