文章
212
粉丝
0
获赞
0
访问
28.8k

评分及理由
(1)得分及理由(满分5分)
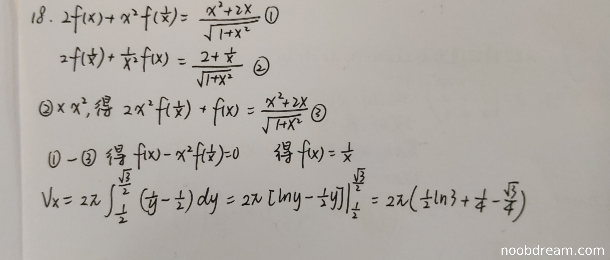
学生正确构建了方程组并求解出 \(f(x) = \frac{x}{\sqrt{1+x^2}}\),思路和计算过程正确,得5分。
(2)得分及理由(满分5分)
学生在计算旋转体体积时出现了严重错误。首先,旋转体体积公式应为 \(V_x = \pi \int y^2 dx\) 或使用柱壳法 \(V = 2\pi \int y x dy\),但学生错误地写出了 \(2\pi \int_{\frac{1}{2}}^{\frac{\sqrt{3}}{2}}(\frac{1}{y}-\frac{1}{2})dy\),这既不是正确的圆盘法也不是柱壳法表达式。其次,积分上下限和表达式均与标准答案不符,导致最终结果错误。由于存在根本性的逻辑错误,扣5分,得0分。
题目总分:5+0=5分
登录后发布评论
暂无评论,来抢沙发