文章

278

粉丝

0

获赞

1

访问

111.4k

头像
2016年考研数学(二)考试试题 - 第15题回答
高等数学
发布于2025年11月2日 11:50
阅读数 313


评分及理由

(1)得分及理由(满分10分)

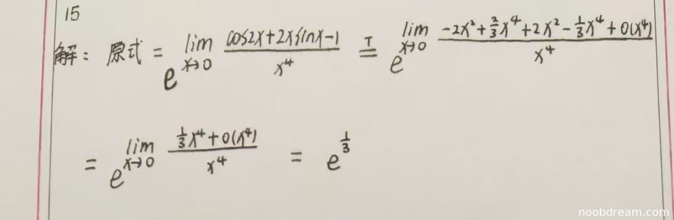
学生作答整体思路与标准答案完全一致,采用了指数化方法将原极限转化为指数形式,然后利用泰勒展开计算指数部分的极限。具体步骤包括:

  • 正确写出指数形式:\( e^{\lim_{x \to 0} \frac{\cos 2x + 2x \sin x - 1}{x^4}} \);
  • 正确展开 \(\cos 2x\) 和 \(\sin x\) 的泰勒公式,并代入计算;
  • 合并同类项后得到 \(\frac{1}{3}x^4 + o(x^4)\),并正确计算极限为 \(\frac{1}{3}\);
  • 最终得出原极限为 \(e^{\frac{1}{3}}\)。

所有步骤逻辑清晰,计算准确,无任何错误。因此得满分10分。

题目总分:10分

登录查看完整内容


登录后发布评论

暂无评论,来抢沙发