文章
285
粉丝
0
获赞
20
访问
110.9k

评分及理由
(Ⅰ)得分及理由(满分6分)
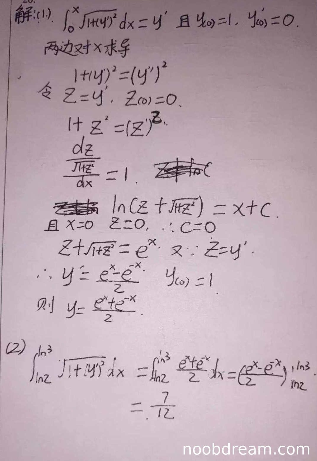
学生正确建立了积分方程和初始条件,通过求导得到微分方程,并正确使用代换法求解。求解过程中分离变量、积分、利用初始条件确定常数均正确,最终得到正确表达式 \( y = \frac{e^x + e^{-x}}{2} \)。但学生在分离变量时写为 \(\frac{dz}{\sqrt{1 + z^2}} = 1\),应为 \(\frac{dz}{\sqrt{1 + z^2}} = dx\),这是一个逻辑错误,但后续积分步骤正确,且最终结果无误,说明是书写疏忽。根据“误写不扣分”原则,此处不扣分。该部分解答完整正确,得6分。
(Ⅱ)得分及理由(满分6分)
学生正确写出弧长公式,并利用(Ⅰ)中导出的关系 \(\sqrt{1 + (y')^2} = y''\),但实际计算时直接代入 \(y' = \frac{e^x - e^{-x}}{2}\),得到 \(\sqrt{1 + (y')^2} = \frac{e^x + e^{-x}}{2}\),积分后利用原函数 \(y'\) 计算,方法与标准答案一致,结果正确。计算过程无误,得6分。
题目总分:6+6=12分
登录后发布评论
暂无评论,来抢沙发