文章

313

粉丝

0

获赞

0

访问

121.5k

头像
2025年合工大超越5+5套卷(一) - 第17题回答
高等数学
发布于2025年11月3日 11:32
阅读数 458


评分及理由

(1)得分及理由(满分10分)

本题满分10分,学生作答存在多处逻辑错误:

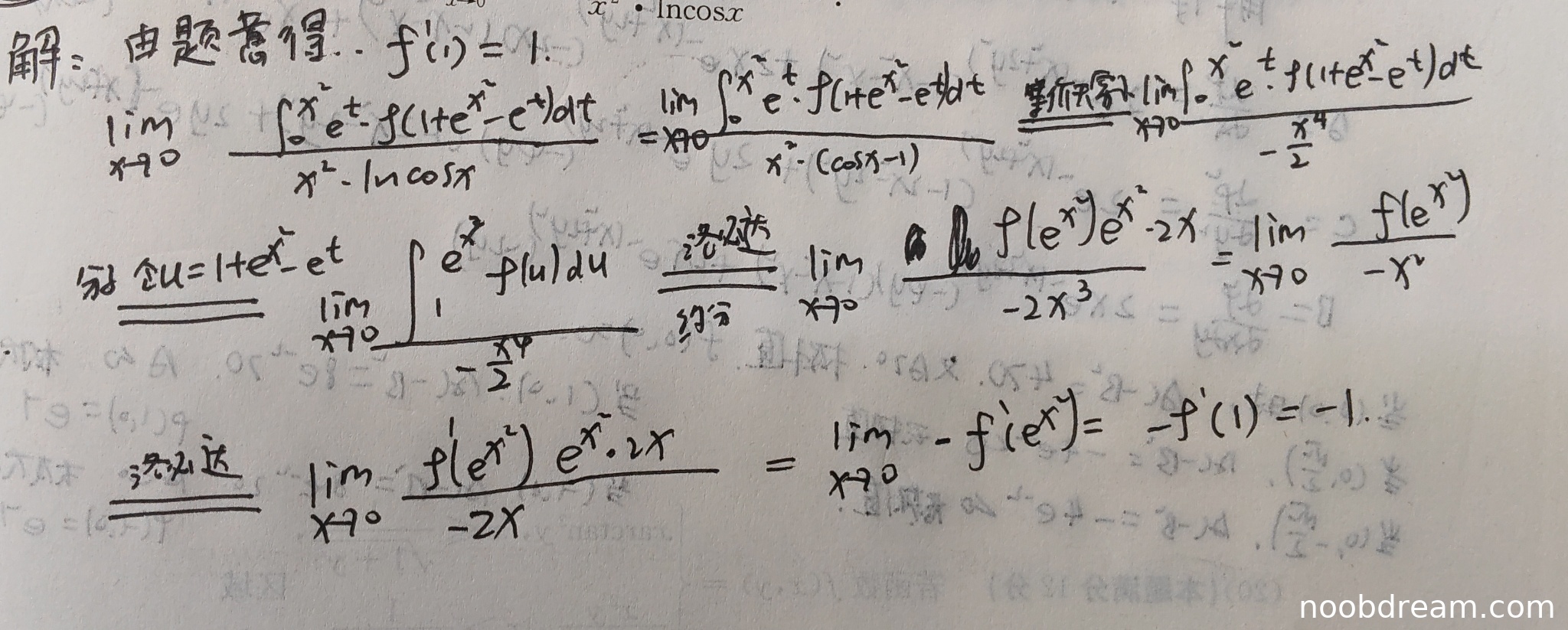
  1. 积分上限错误:题目中积分上限为 \(x^2\),学生误写为 \(x\),导致后续变量替换和计算全部错误
  2. 变量替换错误:令 \(u = 1 + e^x - e^t\) 应为 \(u = 1 + e^{x^2} - e^t\)
  3. 积分限计算错误:当 \(t = 0\) 时,\(u = 1 + e^x - 1 = e^x\),而非学生写的1
  4. 洛必达法则应用错误:对 \(\frac{\int_{1}^{e^x} f(u)du}{-\frac{x^4}{2}}\) 求导时,分子求导结果错误
  5. 极限计算过程混乱:最后几步计算逻辑不清,存在跳步和错误推导

虽然学生最终得到了正确答案-1,但这是巧合,整个解题过程存在根本性错误。

考虑到学生正确使用了切线条件 \(f'(1) = 1\),并尝试了变量替换和洛必达法则的思路,给2分。

题目总分:2分

登录查看完整内容


登录后发布评论

暂无评论,来抢沙发