文章
299
粉丝
0
获赞
0
访问
29.6k

评分及理由
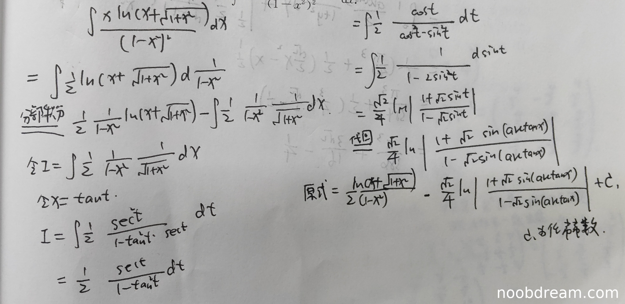
(1)步骤一:凑微分与分部积分(满分4分)
学生正确使用凑微分法,将原积分化为 \(\frac{1}{2}\int \ln(x+\sqrt{1+x^2}) d\left(\frac{1}{1-x^2}\right)\),并应用分部积分法。但在分部积分后的第二项中,学生写为 \(-\int \frac{1}{2} \frac{1}{1-x^2} \frac{1}{\sqrt{1+x^2}} dx\),而标准答案为 \(+\frac{1}{2}\int \frac{1}{(x^2-1)\sqrt{1+x^2}} dx\)。注意到 \(x^2-1 = -(1-x^2)\),因此学生漏了一个负号,导致表达式符号错误。但整体思路正确,计算过程基本完整。扣1分。
得分:3分
(2)步骤二:计算积分 \(I\)(满分6分)
学生正确使用三角代换 \(x = \tan t\),但在化简过程中出现错误:
由于存在多个计算错误和未化简完整,扣3分。
得分:3分
(3)步骤三:最终结果(满分2分)
学生将各部分组合得到最终表达式,但由于前两步存在符号错误和未化简问题,最终结果不正确。表达式包含 \(\sin(\arctan x)\),未化...
登录后发布评论
暂无评论,来抢沙发