2025年合工大超越5+5套卷(一) - 第20题回答
高等数学
发布于2025年11月3日 11:32
阅读数 131

评分及理由
(1)得分及理由(满分12分)
本题满分12分,学生作答存在多处严重错误,具体扣分如下:
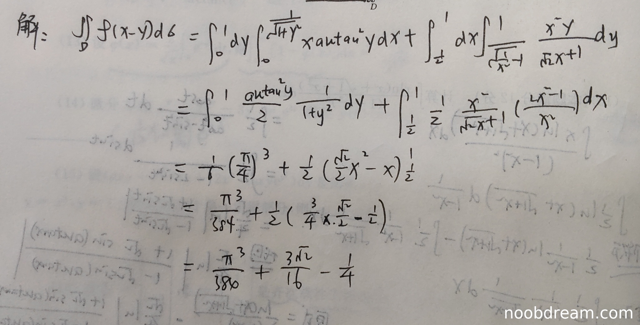
- 分区错误:学生将积分区域的分割曲线误写为 \(x \leq \sqrt{1+y^2}\)(应为 \(x \leq \frac{1}{\sqrt{1+y^2}}\)),导致整个积分区域划分错误,扣4分。
- 被积函数错误:在 \(D_1\) 区域,学生将 \(f(x,y) = x\arctan^2 y\) 误写为 \(x\arctan y\),扣2分;在 \(D_2\) 区域,将 \(f(x,y) = \frac{x^2 y}{\sqrt{2}x + 1}\) 误写为 \(\frac{x-y}{\sqrt{2x+1}}\),扣2分。
- 积分上下限错误:在 \(D_2\) 区域对 \(y\) 的积分下限误写为 \(\frac{1}{x}-1\)(应为 \(\frac{\sqrt{1-x^2}}{x}\)),扣2分。
- 计算过程错误:在计算 \(D_1\) 部分积分时,学生错误地得到 \(\frac{1}{6}(\frac{\pi}{4})^3\)(应为 \(\frac{\pi^3}{384}\)),扣1分;在 \(D_2\) 部分积分计算中出现表达式 \(\frac{1}{2}(\sqrt{2}x - x)\) 等错误,扣1分。
综上,扣除总分10分,本题得2分。
题目总分:2分
登录后发布评论
暂无评论,来抢沙发