文章
296
粉丝
0
获赞
0
访问
21.7k

评分及理由
(1)得分及理由(满分10分)
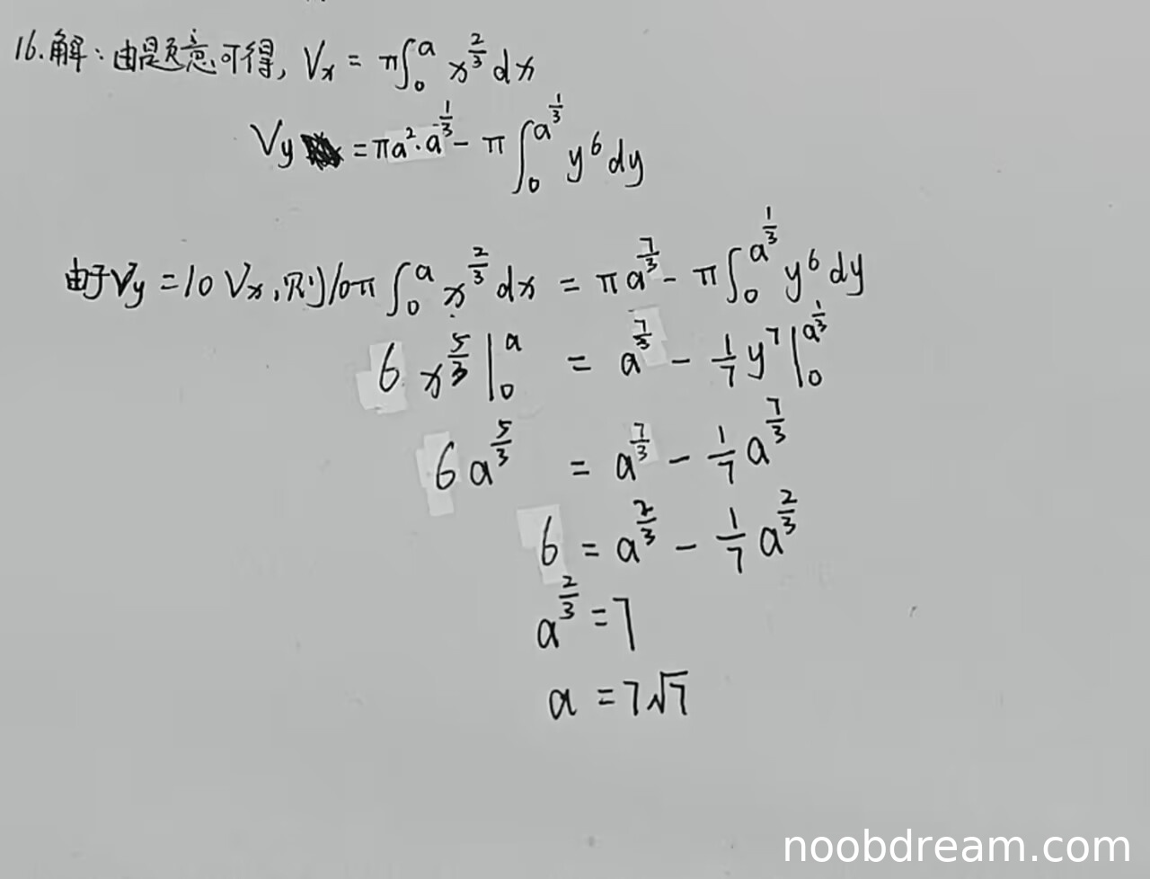
学生正确计算了绕x轴旋转的体积 \(V_x = \pi \int_0^a (x^{1/3})^2 dx = \frac{3\pi}{5} a^{5/3}\),与标准答案一致,得2分。
学生使用柱壳法计算绕y轴旋转的体积 \(V_y = 2\pi \int_0^a x \cdot x^{1/3} dx\),但实际计算中采用了圆盘法(或切片法)的表达式:\(V_y = \pi a^2 \cdot a^{1/3} - \pi \int_0^{a^{1/3}} y^6 dy\),该表达式正确且计算结果为 \(\frac{6\pi}{7} a^{7/3}\),与标准答案一致,得3分。
学生根据 \(V_y = 10V_x\) 列出方程 \(\frac{6\pi}{7} a^{7/3} = 10 \times \frac{3\pi}{5} a^{5/3}\),并正确化简得到 \(a^{2/3} = 7\),得3分。
学生正确求解 \(a = 7\sqrt{7}\),得2分。
尽管学生在列方程时写成了 \(10\pi \int_0^a x^{2/3} dx = \pi a^{7/3} - \pi \int_0^{a^{1/3}} y^6 dy\),但实际计算中两边都正确计算并化简,未影响最终结果,视为笔误不扣分。
本题满分10分,学生得分10分。
题目总分:10分
登录后发布评论
暂无评论,来抢沙发