文章
101
粉丝
0
获赞
2
访问
38.5k

评分及理由
(1)得分及理由(满分10分)
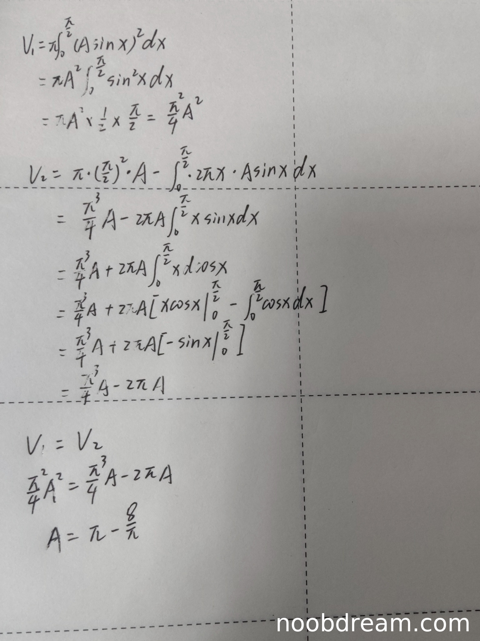
学生计算 \(V_1\) 的过程正确,使用了旋转体体积公式 \(\pi \int f^2(x)dx\),并正确应用了三角恒等式和积分计算,得到 \(V_1 = \frac{\pi^2}{4}A^2\),与标准答案一致。因此该部分不扣分。
(2)得分及理由(满分10分)
学生计算 \(V_2\) 时采用了绕y轴旋转体积的柱壳法(即 \(2\pi \int x f(x)dx\)),但计算过程中出现了逻辑错误。具体来说,学生错误地使用了公式 \(V_2 = \pi \cdot (\frac{\pi}{2})^2 \cdot A - \int_0^{\frac{\pi}{2}} 2\pi x \cdot A \sin x dx\),这不符合柱壳法的标准形式。柱壳法直接给出 \(V_2 = 2\pi \int_0^{\frac{\pi}{2}} x f(x) dx\),无需减去额外项。学生的错误导致后续计算偏离正确结果,因此该部分扣2分。
(3)得分及理由(满分10分)
学生根据 \(V_1 = V_2\) 建立方程并求解,但方程本身因 \(V_2\) 计算错误而错误。求解过程中代数步骤无误,但基于错误方程得到错误答案 \(A = \pi - \frac{8}{\pi}\),与标准答案 \(\frac{8}{\pi}\) 不符。因此该部分扣2分。
题目总分:10 + 8 + 8 = 26分
登录后发布评论
暂无评论,来抢沙发