文章
782
粉丝
21
获赞
1
访问
277.9k

评分及理由
(1)得分及理由(满分6分)
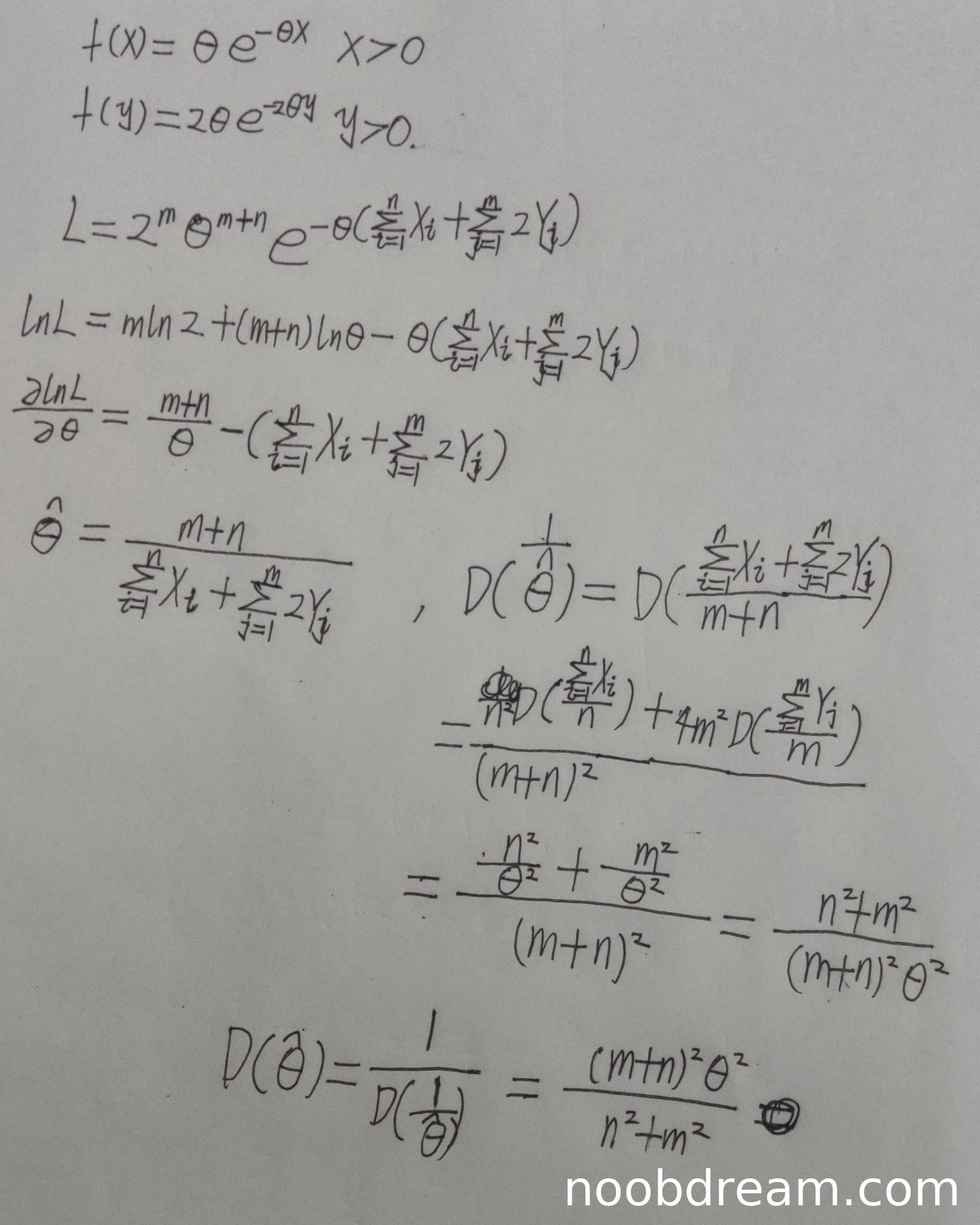
学生给出的概率密度函数形式与标准答案不一致:标准答案中X的密度为(1/θ)e^(-x/θ),学生写为θe^(-θx);Y的密度为(1/(2θ))e^(-y/(2θ)),学生写为2θe^(-2θy)。这导致后续似然函数构建错误。虽然学生按照最大似然估计的步骤进行了推导,但由于密度函数形式错误,导致最终的估计量形式错误。考虑到学生完整展示了最大似然估计的求解过程,给2分。
(2)得分及理由(满分6分)
由于第一部分得到的估计量形式错误,导致方差计算的基础错误。此外,学生在方差计算中存在多处逻辑错误:
考虑到学生尝试使用方差的性质进行计算,但核心逻辑存在严重错误,给1分。
题目总分:2+1=3分
登录后发布评论
暂无评论,来抢沙发