文章
278
粉丝
0
获赞
1
访问
111.0k

评分及理由
(1)得分及理由(满分10分)
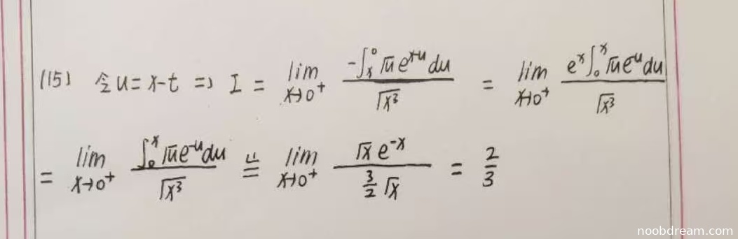
学生作答的整体思路正确,使用了换元法和洛必达法则求解极限。在换元步骤中,学生正确进行了变量替换,将积分转化为\(\int_{0}^{x} \sqrt{u} e^{x-u} du\),但标准答案为\(\int_{0}^{x} \sqrt{u} e^{x+u} du\),这里学生写成了\(e^{x-u}\),而原积分中被积函数是\(\sqrt{x-t e^{t}}\),标准答案通过换元后为\(\sqrt{u} e^{x+u}\),因此学生在这一步存在逻辑错误,导致后续计算基于错误的表达式。不过,学生后续使用洛必达法则的步骤正确,且最终答案正确。根据评分要求,逻辑错误需扣分,但考虑到学生思路正确且最终答案正确,扣分幅度应适度。具体扣分:换元步骤错误导致表达式不一致,但后续洛必达应用正确,扣2分。
题目总分:8分
登录后发布评论
暂无评论,来抢沙发