文章

313

粉丝

0

获赞

0

访问

121.1k

头像
2018年考研数学(二)考试试题 - 第15题回答
高等数学
发布于2025年11月5日 12:03
阅读数 406


评分及理由

(1)得分及理由(满分10分)

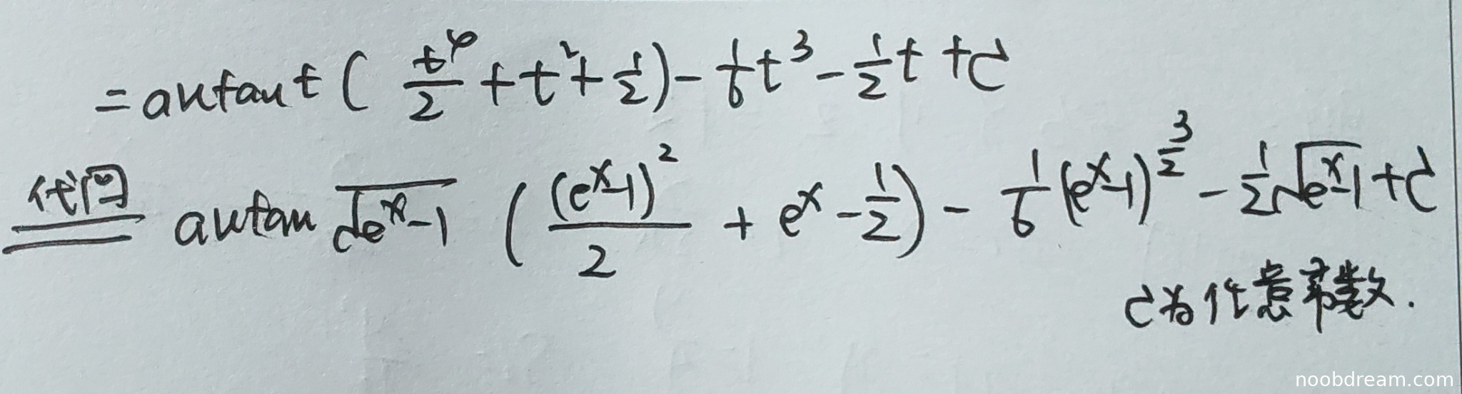
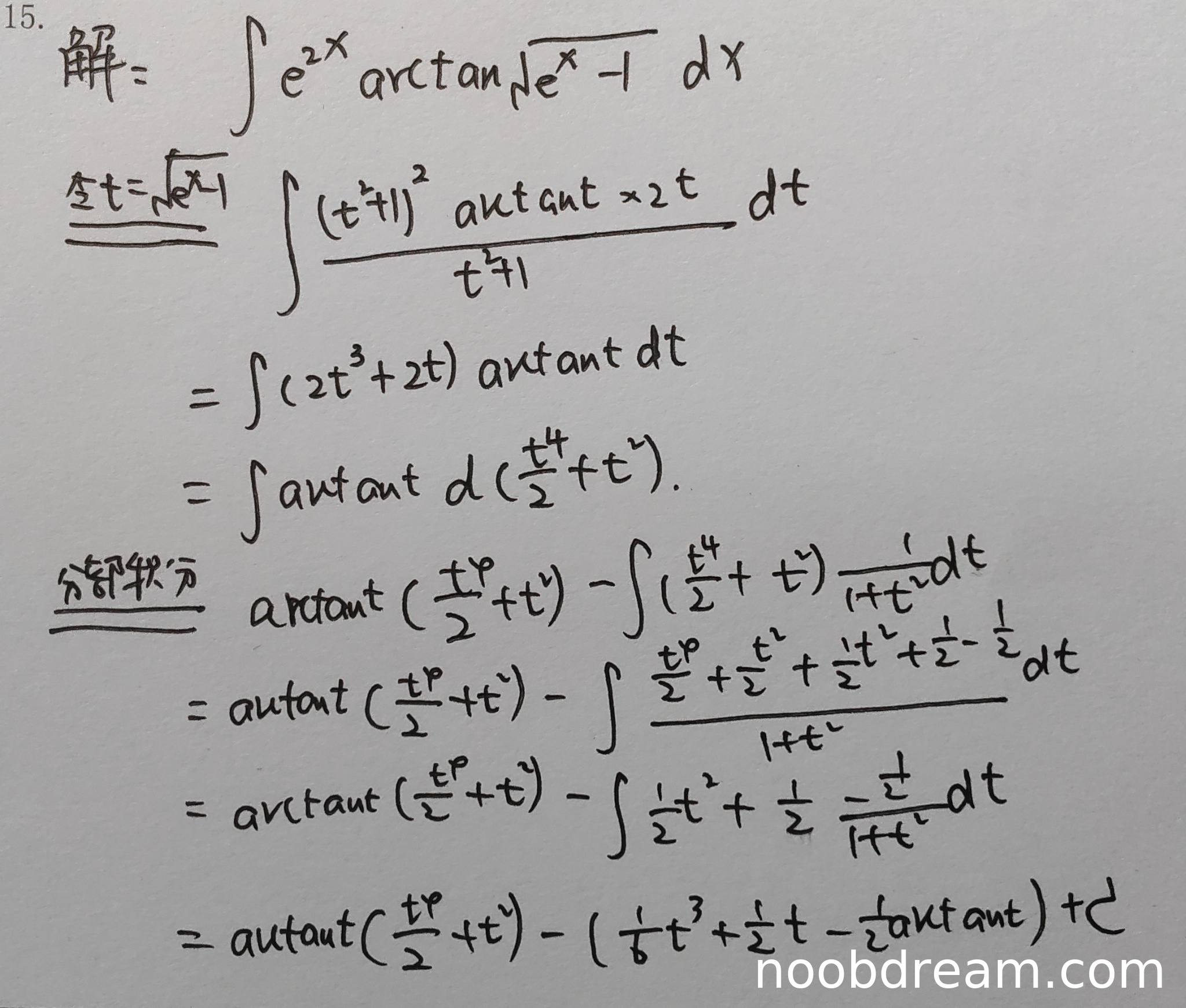
学生采用了换元法(令 \( t = \sqrt{e^x - 1} \))和分部积分法求解该不定积分,思路与标准答案不同但正确。具体步骤包括:

  • 正确进行变量替换,得到 \( \int (2t^3 + 2t) \arctan t \, dt \)。
  • 正确应用分部积分法,设 \( u = \arctan t \),\( dv = d\left(\frac{t^4}{2} + t^2\right) \)。
  • 正确计算 \( du = \frac{1}{1+t^2} dt \) 和 \( v = \frac{t^4}{2} + t^2 \)。
  • 正确进行代数化简,将 \( \int \frac{t^4 + 2t^2}{2(1+t^2)} dt \) 化为 \( \int \left( \frac{1}{2}t^2 + \frac{1}{2} - \frac{1}{2(1+t^2)} \right) dt \)。
  • 正确积分得到 \( \frac{1}{6}t^3 + \frac{1}{2}t - \frac{1}{2} \arctan t + C \)。
  • 正确代回 \( t = \sqrt{e^x - 1} \),得到最终结果。

尽管最终表达式在形式上与标准答案略有不同(例如 \( \frac{(e^x-1)^2}{2} + e^x - \frac{1}{2} \) 可化简为 \( \frac{e^{2x}}{2} \)),但通过代数验证可知两者等价,因此不扣分。整个过程逻辑严密,计算正确,故得满分10分。

题目总分:10分

登录查看完整内容


登录后发布评论

暂无评论,来抢沙发