文章
620
粉丝
1112
获赞
2313
访问
167w

评分及理由
(Ⅰ)得分及理由(满分6分)
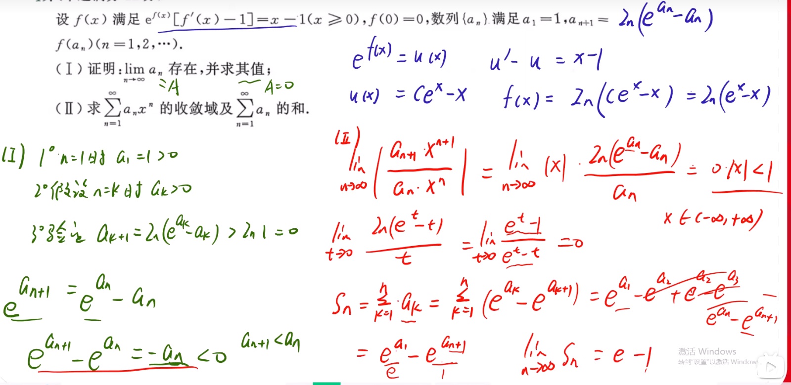
学生正确证明了数列的正项性和单调递减性,并应用单调有界准则得出极限存在。但在求极限值时出现逻辑错误:学生写的是 \(a_{n+1} = 2\ln(e^{a_n} - a_n)\),而标准答案应为 \(a_{n+1} = \ln(e^{a_n} - a_n)\)。这个错误导致后续极限方程变为 \(A = 2\ln(e^A - A)\),虽然学生最终得到 \(A=0\) 是正确的,但推导过程存在根本性错误。此外,学生额外构造函数 \(y = 2\ln(e^x - x) - x\) 来验证 \(A=0\) 是不必要的。
扣分情况:
得分:6 - 2 - 1 = 3分
(Ⅱ)得分及理由(满分6分)
第一部分求收敛域:学生正确使用了比值判别法,但由于函数表达式错误,导致计算 \(\lim_{n\to\infty} \frac{a_{n+1}}{a_n}\) 时出现错误。虽然最终得到收敛域为 \((-∞,+∞)\) 是正确的,但推导过程存在根本性错误。
第二部分求和:学生正确利用了 \(e^{a_{n+1}} = e^{a_n} - a_n\) 的关系,得到 \(a_n = e^{a_n} - e^{a_{n+1}}\),并正确计算了部分和与极限,最终得到和 \(e-1\) 是正确的。
扣分情况:
得分:3(收敛域)+ 3(求和)= 6 - 2 = 4分
题目总分:3+4=7分
登录后发布评论
暂无评论,来抢沙发