2022年考研数学(二)考试试题 - 第19题回答
高等数学
发布于2025年11月7日 13:22
阅读数 56

评分及理由
(1)得分及理由(满分12分)
学生作答存在多处逻辑错误:
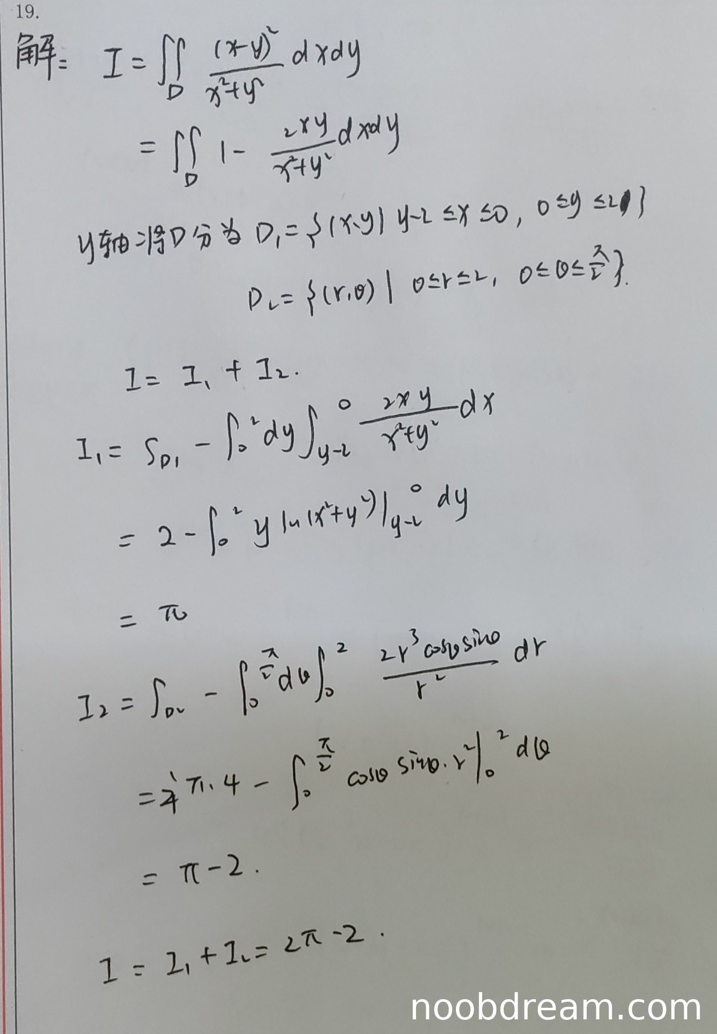
- 第一步将被积函数变形时,将题目中的 \((x-y)^2\) 误写为 \((x+y)^2\),导致后续所有计算基于错误的被积函数。这是根本性错误,扣4分。
- 区域划分 \(D_1\) 和 \(D_2\) 时,\(D_1\) 的定义与题目不符(应为 \(y-2 \leq x \leq 0\) 且 \(0 \leq y \leq 2\)),但学生未正确识别 \(D_2\) 的极坐标范围(应为 \(0 \leq r \leq 2, 0 \leq \theta \leq \pi/2\) 和 \(0 \leq r \leq 2/(\sin\theta - \cos\theta), \pi/2 \leq \theta \leq \pi\)),扣2分。
- 计算 \(I_1\) 时,积分 \(\iint_{D_1} \frac{2xy}{x^2+y^2} dxdy\) 的结果未正确给出,直接得出 \(I_1 = \pi\) 缺乏中间步骤和合理性,扣2分。
- 尽管最终答案 \(2\pi - 2\) 与标准答案一致,但这是基于错误函数和错误区域划分的巧合,不给予分数补偿。
得分:12 - 4 - 2 - 2 = 4分。
题目总分:4分
登录后发布评论
暂无评论,来抢沙发