文章

337

粉丝

0

获赞

0

访问

129.5k

头像
2014年考研数学(二)考试试题 - 第18题回答
高等数学
发布于2025年11月8日 07:47
阅读数 326


评分及理由

(1)得分及理由(满分10分)

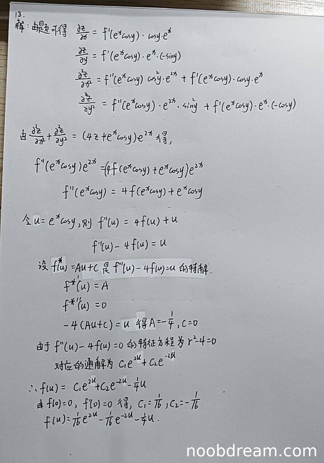
该学生作答整体思路与标准答案一致,步骤完整且计算正确。具体分析如下:

  • 一阶偏导数和二阶偏导数的计算正确,与标准答案一致。
  • 代入偏微分方程并化简得到关于 \( f(u) \) 的常微分方程 \( f''(u) - 4f(u) = u \) 的过程正确。
  • 求解非齐次线性微分方程的方法正确:先求齐次通解 \( C_1 e^{2u} + C_2 e^{-2u} \),再设特解为 \( Au \)(学生写作 \( Au + C \),但计算中正确得出 \( C = 0 \)),解得特解为 \( -\frac{1}{4}u \),通解为 \( f(u) = C_1 e^{2u} + C_2 e^{-2u} - \frac{1}{4}u \)。
  • 利用初始条件 \( f(0) = 0 \) 和 \( f'(0) = 0 \) 建立方程组并求解,得到 \( C_1 = \frac{1}{16} \), \( C_2 = -\frac{1}{16} \),最终结果为 \( f(u) = \frac{1}{16} e^{2u} - \frac{1}{16} e^{-2u} - \frac{1}{4}u \),与标准答案一致(标准答案为 \( \frac{1}{16}(e^{2u} - e^{-2u}) - \frac{1}{4}u \),等价)。

因此,该作答无逻辑错误,计算准确,应得满分10分。

题目总分:10分

登录查看完整内容


登录后发布评论

暂无评论,来抢沙发