文章

101

粉丝

0

获赞

2

访问

37.9k

头像
2017年考研数学(二)考试试题 - 第15题回答
高等数学
发布于2025年11月9日 06:53
阅读数 422


评分及理由

(1)得分及理由(满分10分)

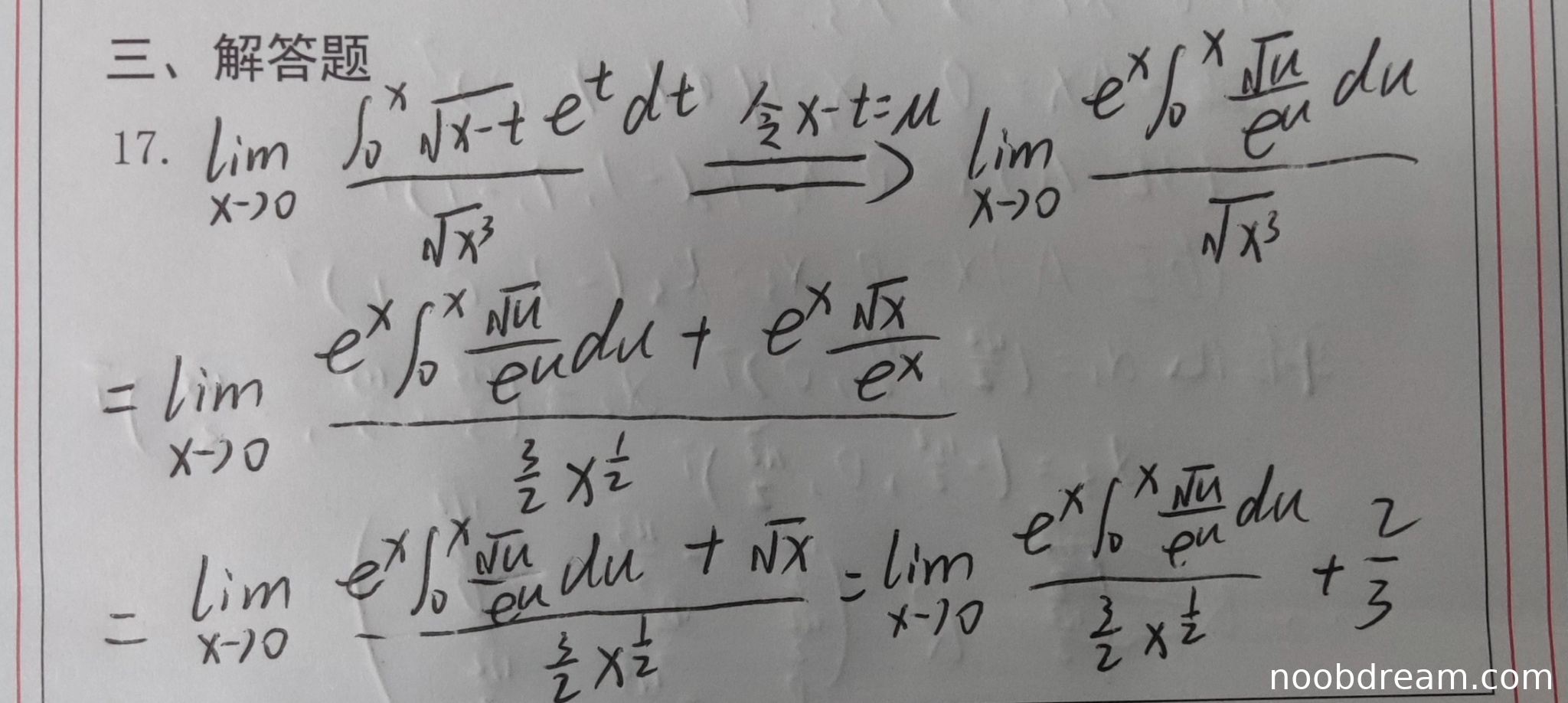
学生作答的整体思路正确:通过换元法将积分转化为标准形式,并正确应用洛必达法则处理极限。主要步骤包括:

  1. 换元 \(x-t=u\) 后得到 \(e^x \int_0^x \frac{\sqrt{u}}{e^u} du / x^{3/2}\),这一步正确。
  2. 应用洛必达法则时,分子求导为 \(e^x \int_0^x \frac{\sqrt{u}}{e^u} du + e^x \cdot \frac{\sqrt{x}}{e^x}\),分母求导为 \(\frac{3}{2}x^{1/2}\),这一步正确。
  3. 将极限拆分为两部分,其中第二部分 \(\lim_{x\to 0} \frac{\sqrt{x}}{(3/2)x^{1/2}} = \frac{2}{3}\) 正确。
  4. 对剩余部分再次应用洛必达法则,虽然计算过程有误(见下文),但最终得到0,加上前面的 \(\frac{2}{3}\) 得到正确答案 \(\frac{2}{3}\)。

但存在以下逻辑错误:

  • 在第二次洛必达法则应用中,分子求导后应为 \(e^x \int_0^x \frac{\sqrt{u}}{e^u} du + e^x \cdot \frac{\sqrt{x}}{e^x} + e^x \cdot \frac{\sqrt{x}}{e^x}\)(乘积法则和变上限积分求导组合),但学生只写了一项,导致中间表达式错误。不过最终极限计算为0是正确的(因为分子阶数低于分母)。
  • 在第二次洛必达后的化简中,学生写为 \(\frac{4}{3} \lim_{x\to 0} \frac{\sqrt{x} e^x \int_0^x \frac{\sqrt{u}}{e^u} du + x}{x^{1/2}}\),这里分子分母阶数分析不严谨,但巧合地得到0。

由于核心思路正确且最终答案正确,但中间计算存在逻辑错误,扣2分。

得分:8分

题目总分:8分

登录查看完整内容


登录后发布评论

暂无评论,来抢沙发