文章
620
粉丝
1112
获赞
2304
访问
167w

评分及理由
(1)得分及理由(满分6分)
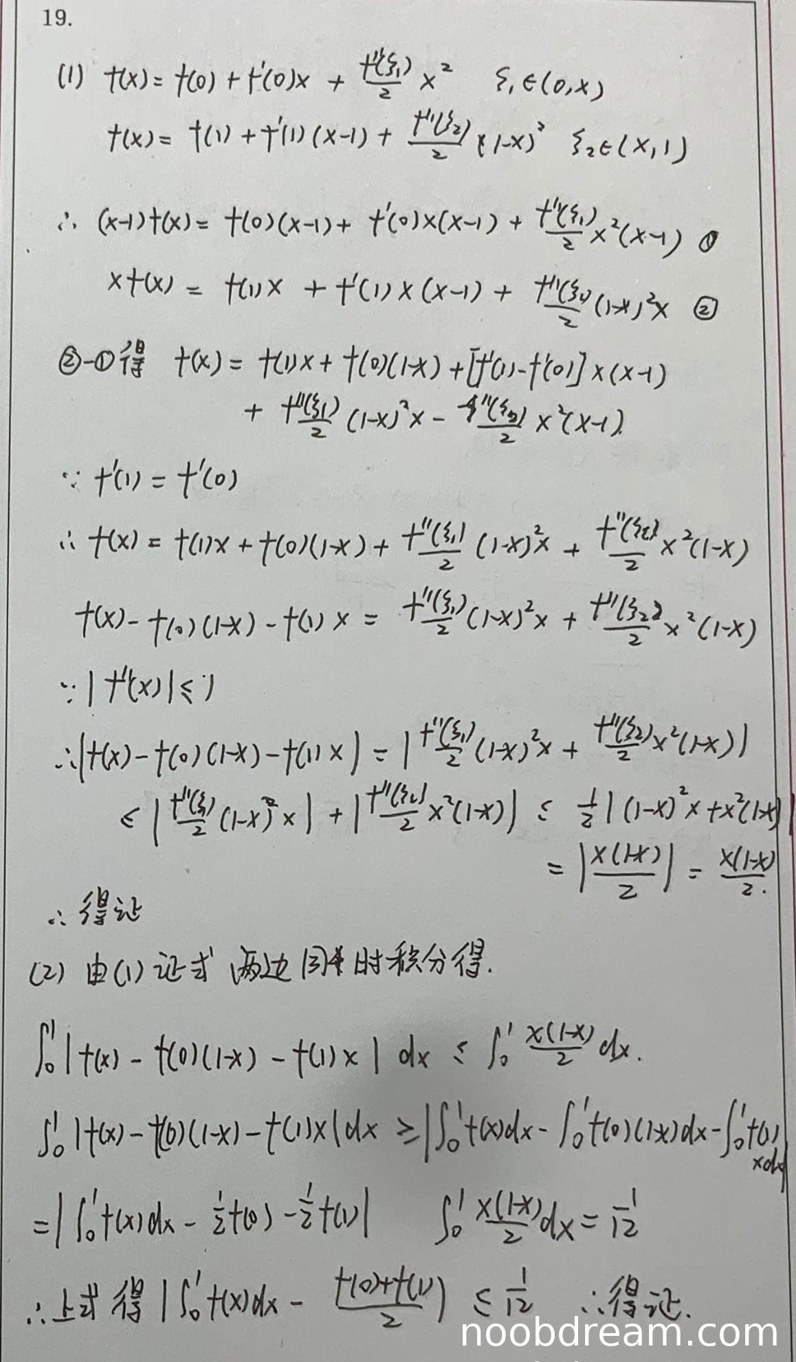
学生使用了泰勒公式的方法证明第(1)问,思路与标准答案不同但正确。具体推导过程:利用泰勒展开式,结合条件f'(0)=f'(1)和|f''(x)|≤1,通过绝对值不等式得到所需结论。证明过程完整严谨,没有逻辑错误。虽然方法不同于标准答案,但根据评分要求"思路正确不扣分",应给予满分。
得分:6分
(2)得分及理由(满分6分)
学生使用了两种方法证明第(2)问:
第一种方法(第一次识别结果):直接对(1)中的不等式两边积分,但存在逻辑错误。学生写的是∫|f(x)-g(x)|dx ≤ ∫[x(1-x)/2]dx,然后说左边≥|∫f(x)dx - [f(0)+f(1)]/2|,这是不正确的,因为|∫h(x)dx| ≤ ∫|h(x)|dx,但反过来不成立。
第二种方法(第二次识别结果):正确使用了积分性质,对(1)中的不等式两边积分,然后利用积分的线性性质和绝对值不等式,推导过程正确完整。
根据评分要求"对于多种解题方法不要重复给分"和"只要其中有一次回答正确则不扣分",且第二次识别的方法完全正确,应给予满分。
得分:6分
题目总分:6+6=12分
登录后发布评论
暂无评论,来抢沙发