文章

180

粉丝

0

获赞

0

访问

65.5k

头像
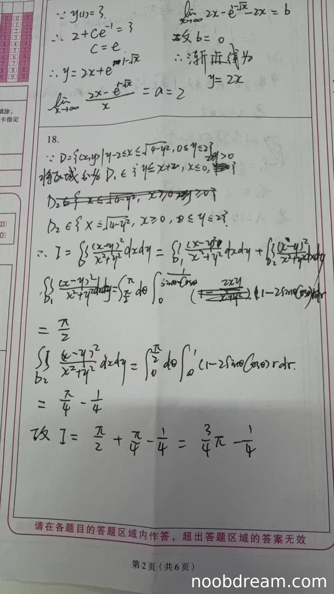
2022年考研数学(一)考试试题 - 第18题回答
高等数学
发布于2025年11月11日 17:57
阅读数 441


评分及理由

(1)得分及理由(满分12分)

学生作答包含两个识别结果,其中第一个识别结果存在严重逻辑错误,第二个识别结果虽然部分思路正确但计算过程存在多处错误。

主要问题分析:

  1. 区域划分错误:学生将区域D划分为D₁和D₂的表述混乱(第一次识别中甚至出现D₁、D₂、D₃的矛盾划分)
  2. 极坐标转换错误:在D₁部分的积分中,积分限设置错误(第一次识别中r上限为sinθ-cosθ,第二次识别中r上限为2sinθ/(sinθ-cosθ))
  3. 被积函数处理错误:在极坐标转换时,未能正确将(x-y)²/(x²+y²)转换为(cosθ-sinθ)²
  4. 计算过程错误:积分计算中出现各种错误表达式,如"2xy/(1+2sinθcosθ)"等无意义表达式
  5. 最终结果错误:学生得到3π/4-1/4,与正确答案2π-2相差甚远

虽然学生尝试使用极坐标法并分区计算,与标准答案思路一致,但由于存在多处严重逻辑错误和计算错误,只能给予少量分数。

得分:2分(思路分)

题目总分:2分

登录查看完整内容


登录后发布评论

暂无评论,来抢沙发