文章

180

粉丝

0

获赞

0

访问

64.8k

头像
2021年考研数学(一)考试试题 - 第20题回答
高等数学
发布于2025年11月12日 18:42
阅读数 581


评分及理由

(Ⅰ)得分及理由(满分6分)

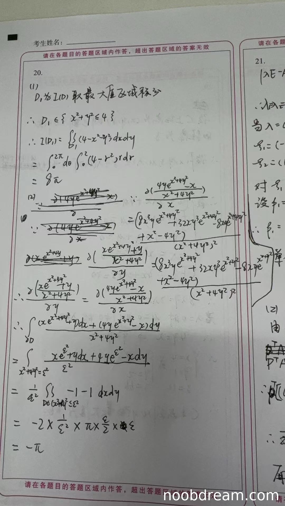
学生正确识别出使积分最大的区域是圆盘 \(x^2 + y^2 \leq 4\),并正确计算了积分值 \(8\pi\)。计算过程清晰,使用极坐标转换正确。因此得满分6分。

(Ⅱ)得分及理由(满分6分)

学生在第二部分存在以下问题:

  1. 偏导数计算出现错误:在计算 \(\frac{\partial Q}{\partial x}\) 和 \(\frac{\partial P}{\partial y}\) 时,表达式复杂且与标准答案不符,存在计算错误。
  2. 虽然学生正确判断了偏导数相等(从而得出被积函数在区域内除原点外保守),但未明确说明在原点处有奇点,也未引入辅助曲线 \(L_0\) 来应用格林公式。
  3. 学生直接令 \(x^2 + 4y^2 = \varepsilon^2\) 并计算曲线积分,但未说明该曲线与 \(D_1\) 边界的关系,且计算过程中面积计算有误(椭圆面积应为 \(\pi \cdot \varepsilon \cdot \frac{\varepsilon}{2} = \frac{\pi \varepsilon^2}{2}\),但学生写为 \(\pi \times \frac{\varepsilon}{2} \times \varepsilon\),结果正确但表述不严谨)。
  4. 最终结果正确(\(-\pi\)),但推导过程存在逻辑跳跃和计算错误。

由于存在明显的偏导数计算错误和逻辑不严谨,扣3分。得3分。

题目总分:6+3=9分

登录查看完整内容


登录后发布评论

暂无评论,来抢沙发