文章

94

粉丝

0

获赞

0

访问

32.2k

头像
2017年考研数学(二)考试试题 - 第17题回答
高等数学
发布于2025年11月13日 21:34
阅读数 267


评分及理由

(1)得分及理由(满分10分)

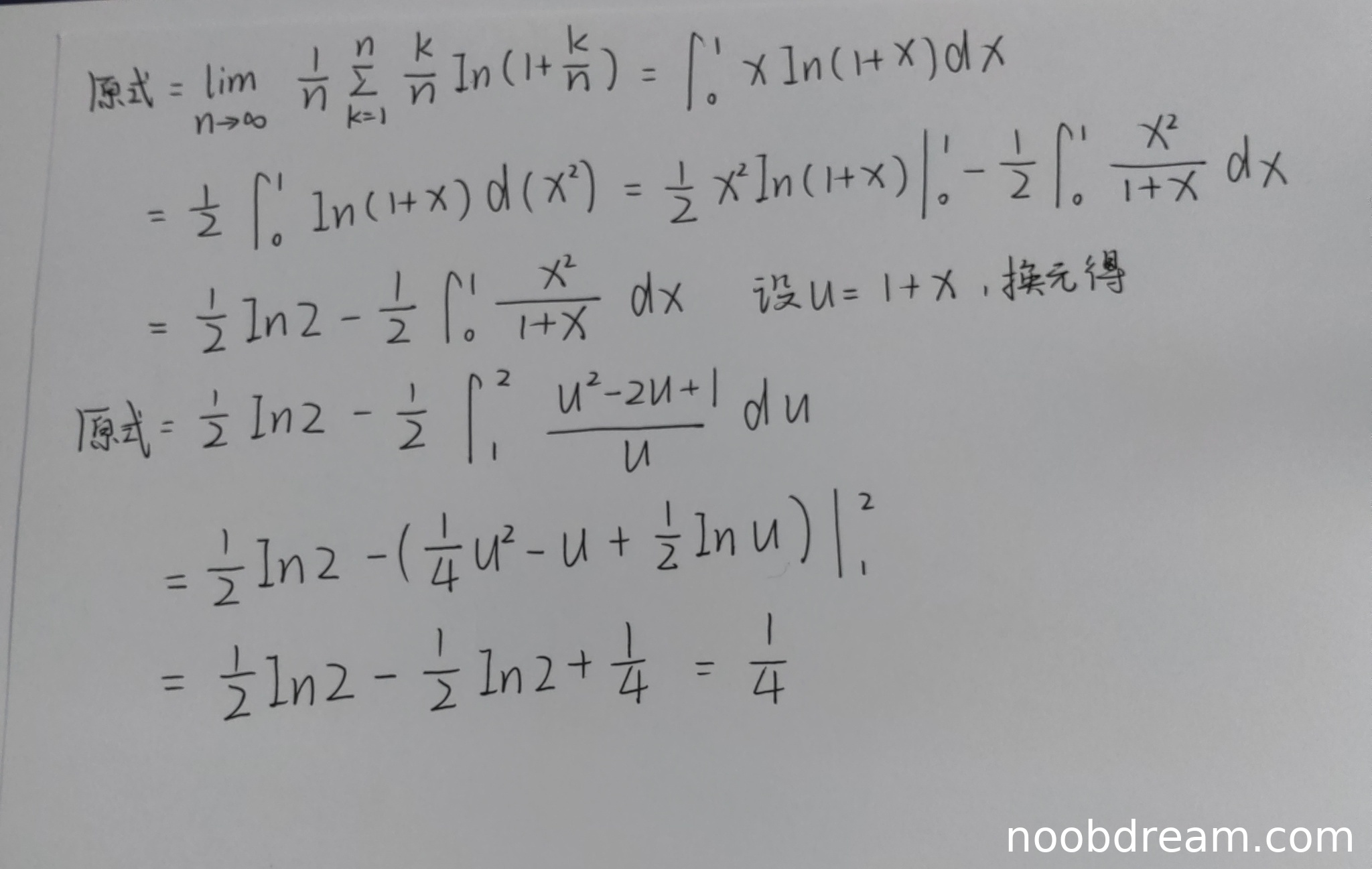
学生作答在第1次识别和第2次识别中均给出了完整的解题过程,且最终答案正确为\(\frac{1}{4}\)。解题思路与标准答案一致:首先将极限转化为定积分\(\int_{0}^{1} x \ln(1+x) dx\),然后使用分部积分法,再通过换元法计算积分\(\int_{0}^{1} \frac{x^2}{1+x} dx\),最后得到正确结果。过程中无逻辑错误,计算步骤清晰正确。根据打分要求,思路正确且无逻辑错误,不扣分。

题目总分:10分

登录查看完整内容


登录后发布评论

暂无评论,来抢沙发