2017年考研数学(二)考试试题 - 第20题回答
高等数学
发布于2025年11月13日 21:34
阅读数 126

评分及理由
(1)得分及理由(满分11分)
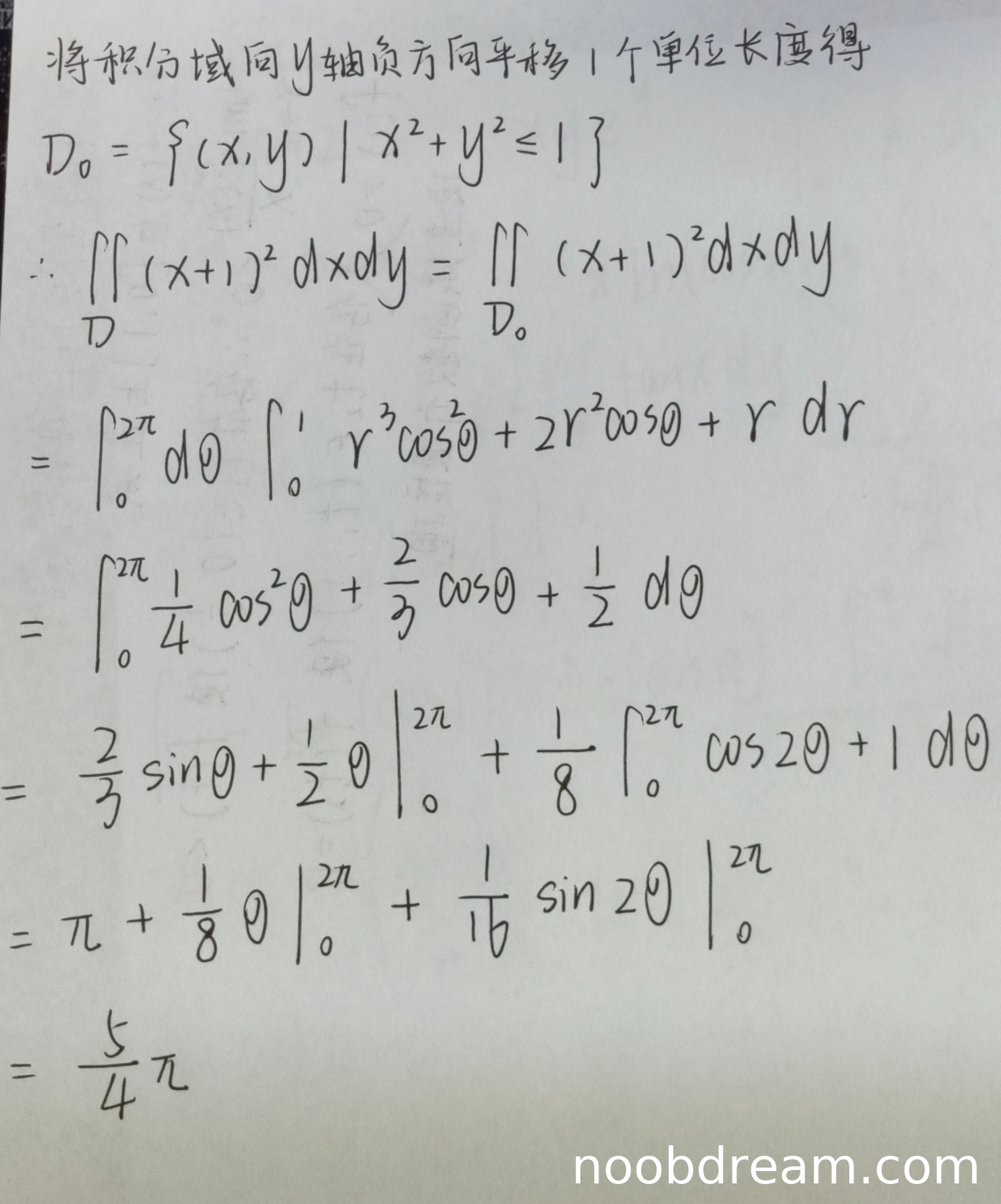
学生作答使用了平移变换的方法,将区域D平移到圆心在原点的单位圆D₀,然后使用极坐标计算。这种方法思路正确,与标准答案不同但结果一致。计算过程中:
- 平移变换正确:D: x²+(y-1)²≤1 平移到 D₀: x²+y²≤1
- 被积函数(x+1)²在平移后保持不变(因为只平移了y方向)
- 极坐标转换正确:x=rcosθ, y=rsinθ, dxdy=rdrdθ
- 对r的积分计算正确
- 对θ的积分计算正确,注意到∫cosθdθ=0
- 最终结果正确为5π/4
虽然方法不同,但思路正确且计算准确,应得满分。
题目总分:11分
登录后发布评论
暂无评论,来抢沙发