2015年考研数学(二)考试试题 - 第18题回答
高等数学
发布于2025年11月15日 01:17
阅读数 78

评分及理由
(1)得分及理由(满分10分)
学生作答存在多处严重逻辑错误:
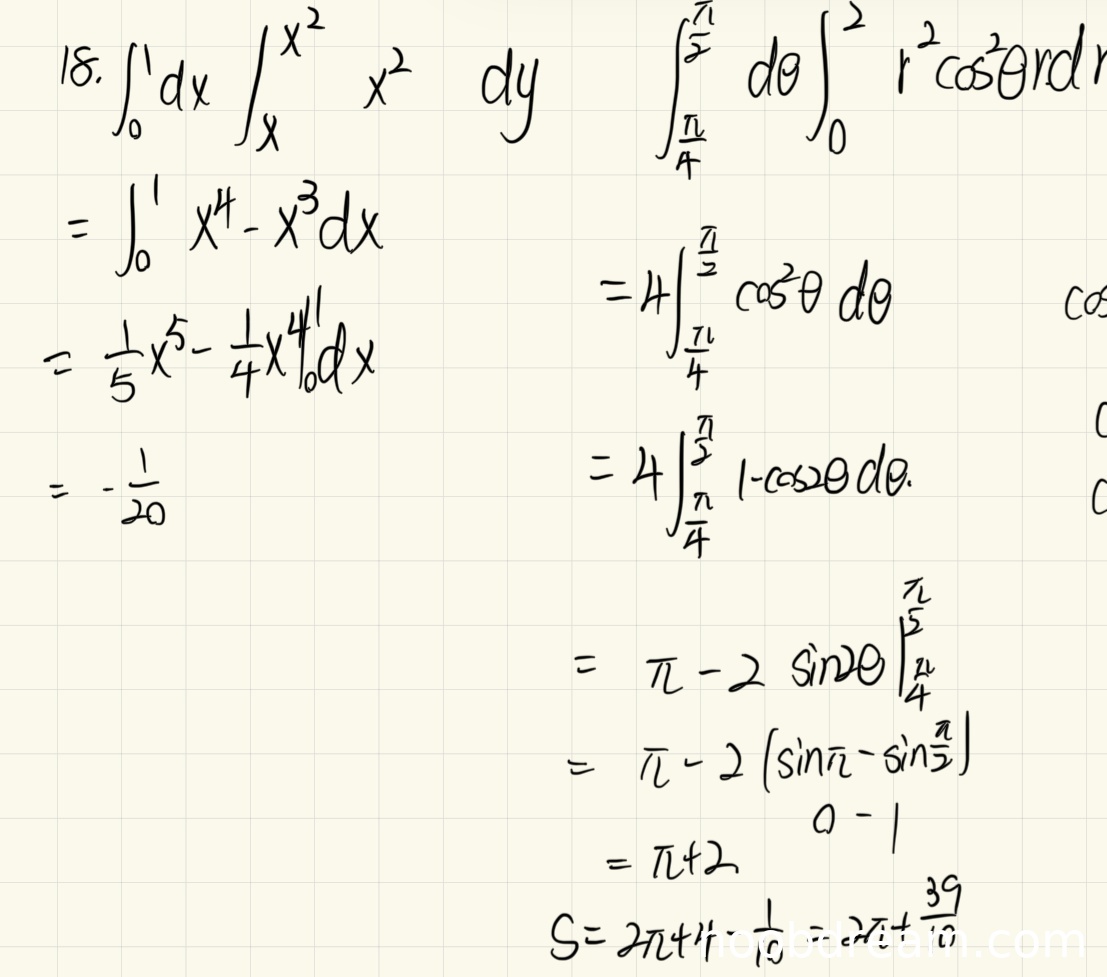
- 积分区域理解错误:学生将区域D错误地拆分为两部分,第一部分积分限写为∫₀¹dx∫ₓˣ²x²dy,其中y从x到x²的上下限设置完全错误,与题目条件y≥x²不符。
- 被积函数错误:原积分为∬x(x+y)dxdy,学生错误地简化为只计算∬x²dxdy。
- 极坐标转换错误:极坐标积分中半径上限错误设为2,而实际应为√2;角度范围设置错误。
- 最终结果计算错误:将两个错误的积分结果相加得到2π+39/10,与正确答案π/4-2/5相差甚远。
由于这些根本性的逻辑错误,该解答几乎没有任何正确部分,只能给予基础分1分。
题目总分:1分
登录后发布评论
暂无评论,来抢沙发